电子说
随着 5G 无线网络不断发展,无线电前端的性能在射频接收器信号路径中扮演着越来越关键的角色,对于低噪声放大器 (LNA) 尤其如此。随着适用于 LNA 的新型工艺技术(例如硅锗 (SiGe)、砷化镓 (GaAs) 和绝缘硅片 (SOI))的出现,设计人员必须重新评估 LNA 参数(例如噪声、灵敏度、带宽和功率)的性能权衡,以便有效地使用这些工艺技术。
前端的重要性无论怎样强调都不过分,因为它在很大程度上决定了系统在弱信号情况下的最终性能以及可实现的误码率。如果 LNA 的性能不合要求,为满足 5G 性能要求而在电路和接收通道管理方面做出的其余设计努力都将收效甚微。
本文将讨论 5G 的现状及其对 LNA 性能的要求。随后,本文将介绍采用最新工艺并有助于满足这些要求的解决方案,以及如何充分利用这些解决方案。
5G 现状简述
任重道远,但已迈出坚实的步伐:尽管 5G 的规格已经最终敲定,但仍在逐步完善中。5G 很多令人向往的特性尚待定夺,还需要更多的会议探讨和现场试验,并征求元器件供应商和无线运营商的意见。
不过,一些问题已经昭然若揭:5G 设计将会占用新的电磁波谱块,但一些初始实施仍将低于 6 千兆赫 (GHz)。大多数 5G 系统将在毫米波频带运行,在美国可使用 27 到 28 GHz 和 37 到 40 GHz 频带。一些初步分配的频带甚至高于 50 GHz。由于存在技术挑战,第一批毫米波实施将使用 27 到 28 GHz 频带。
LNA 的具体作用
尽管 5G 规格提供了很多调制、功率、数据速率选项及其他一些功能,但通常它们大多与接收通道 LNA 关系不大。此元器件必须胜任一项任务,即捕获并放大来自天线且被噪声破坏的微弱信号,同时尽量减少增加的噪声。因此,仔细研究 LNA 本身,而不是过度关注持续演化的更高层面的规格问题,才是明智之举。
要在指定频带内实现可接受的运行,主要的 LNA 规格是噪声系数 (NF),即由 LNA 增加的固有噪声量。对于 5G,尤其是接近 28 GHz 频带时,NF 通常需要介于 1 到 3 dB 之间,某些情况下,再高 1 到 2 dB 的噪声也是可以接受的。通常需要介于 15 到 20 dB 之间的增益,才能将收到的信号升压到可被后续的放大器、滤波器和数字化正确处理的范围。
最后,1 dB 输出压缩点(被称为 OP1 或 P1dB)和输出三阶交调点 (OIP3) 的线性度相关系数分别需要至少为 -20 和 -35 dBm。在更低的 5G 频带,对于 OP1 和 OIP3 的这些要求则不那么严格,其中 OP1 为 -20 dBm 范围内,OIP3 为 -10 到 -15 dBm。请注意,负值越大,表示性能越高(-25 dBm 要优于 -20 dBm),但很多规格书会省略负号,这样会造成混淆。
从功能上看,LNA 只是很“简单”的放大器,具有非常基本的框图 - 通常只是一个放大器三角形 - 而且只需要几条封装引线(通常是 6 到 8 条)。这种简化设计的结果是,它们的封装很小,每侧的尺寸约为 1 到 2 毫米,很多封装的尺寸甚至更小。
新工艺推动 LNA 向 5G 应用迈进
许多高性能 LNA 专为几 GHz 的低频率(例如 2.4 GHz 和 5 GHz 频带)量身定制,但它们不符合 5G 前端的严格要求。由于硅基 LNA 似乎已经达到它们的性能极限,因此各厂商纷纷使用更新的半导体材料和工艺来满足多种 5G 性能规格的严格要求。即使在较低的 5G 频带,标准硅也不具备足以满足 5G 要求的低噪声系数和高 OP1/OIP3 等级,因为它的发送和接收信号电平要低于现有的无线标准。
由于这些原因,供应商在基于 SiGe、SOI 和砷化镓 (GaAs) 材料的新工艺的研发和量产方面投入巨资,因为这些新工艺可提供更高的电子迁移率、更小的几何尺寸和更少的泄漏。
例如,Infineon Technologies 的 BGA8U1BN6 LNA 采用 SiGe 工艺,噪声系数仅为 1.6 dB,其 OP1 介于 18 到 22 dBm 之间,OIP3 介于 10 到 15 dBm 之间。它在 4 到 6 GHz 的频带运行,增益为 13.7 dB。
此外,BGA8U1BN6 还提供了省电功能,激活此功能后,它可以进入旁通模式,只需要将输入信号传递到输出便可,插入损耗仅为 7.5 dB(图 1)。当接收的信号强度较高时,此功能非常有用,因为它既能防止下一级过载,还能将 2.8 伏电源的 LNA 供电电流从大约 20 毫安 (mA) 减小至大约 100 微安 (µA),实现大幅的能耗节省。

图 1:Infineon Technologies 的 SiGe BGA8U1BN6 LNA 包含旁通模式,此模式将 LNA 从信号路径中剔除;这样既减小了增益,防止后续各级出现过载和饱和,同时还降低了电流要求。(图片来源:Infineon Technologies)
Skyworks Solutions 的 SKY65806-636LF 也提供了旁通模式,是适用于 3400 到 3800 MHz 频带的 SOI LNA。它的增益与 Infineon 器件的增益相似,约为 13.6 dB,但噪声系数仅为 1.2 dB。电源电压范围为 1.6 到 3.3 伏,工作电流仅为 3.85 mA。与 Infineon 的 LNA 一样,这个电阻为 50 Ω 的 LNA 包含用户控制的旁通功能。
Analog Devices 推出的 ADL5724 LNA 也采用了 SiGe 工艺,可在 12.7 GHz 到 15.4 GHz 的频带运行(图 2)。其 100 Ω 平衡差分输出非常适合驱动差分下变频器和模数转换器。典型增益大于 23.7 dB,典型噪声系数在频率为 12.7 GHz 和 15.4 GHz 时分别为 2.1 dB 和 2.4 dB。

图 2:Analog Devices 的 SiGe ADL5724 提供平衡差分输出,此输出可支持在该器件与下一级信号链之间实现增强的信号完整性。(图片来源:Analog Devices)
鉴于很多 LNA 通常不会部署到稳定的温度环境中,因此 ADL5724 规格书附上了关键性能系数与温度的关系图(图 3)。

图 3:如图所示为 -40⁰C、+25⁰C 和 +85⁰C 温度下的 (a) 增益和 (b) 噪声系数与频率的关系图,可见 LNA 的性能取决于温度。请注意在噪声系数随着温度的升高而增大时,增益是如何减小的。(图片来源:Analog Devices)
对于 ADL5724,增益会随着温度的升高而稍稍减小,噪声系数则会随着温度的升高而增大。这是 LNA 的典型表现,与工艺无关。设计人员需要在最坏情况建模和信号链性能模拟中考虑到这些变化。
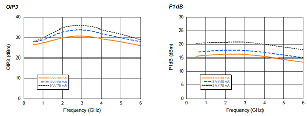
为实现高动态范围和低噪声,MACOM Technology Solutions Holdings (MACOM) 推出了 MAAL-011078,这是一种具有高动态范围和超低噪声系数的 GaAs 单级 LNA,其 2.6 GHz 频率下的噪声系数仅为 0.5 dB。它还提供了 22 dB 的增益以及 33 dBm (OIP3) 和 17.5 dBm (P1dB) 的高线性度。这款 IC 涵盖了 700 MHz 到 6 GHz 频带,还具有一项额外特性:集成式有源偏置电路,因此用户可通过外部电阻器设置自己的偏置(工作点)电流。这样,用户就能定制功耗以满足应用需求。例如,针对较低的工作电流选择较低的性能(图 4)。

图 4:用户可利用 MACOM 的 MAAL-011078,通过外部电阻器来设置 LNA 偏置电流和工作点,藉由减小工作电流实现 OIP3 相对频率的变化(左侧)和 P1dB 性能相对频率的下降(右侧)。(图片来源: MACOM)
让 5G LNA 发挥最大效用
在为 5G 选择合适的 LNA 之后,要实施 5G 前端设计,还需要考虑一些注意事项和通融措施,以便让 LNA 发挥最大效用。随着工作频率跨越 5 GHz、10 GHz,除了 LNA 自身之外,还需要考虑五个重要因素。
1:选择 PC 板材料 - 在千兆赫范围内,LNA 输入和输出的传输线路损耗是一个重要因素。在输入端尤其如此,因为输入端的传输线路损耗会降低可实现的最大信噪比,还会增大 LNA 的输出噪声。由于大多数设计中的传输线路都是作为带状线制作到 PC 板本身,因此电路板必须由低损耗的介电材料制成。
仅仅使用通用的 FR4 PCB 层压板不足以保证这一点,因此供应商提供了多种替代材料和层压材料。其中一种广泛使用的电路板是在 FR4 核心上放置一种特殊的层压材料,使传输线路具有稳定的损耗系数,并具有 FR4 加强板的基本强度。
请记住,在这些频率下,必须将 PC 板视为电路设计中的另一个无源“元器件”,具有所有其他无源元器件一样的寄生效应。此外,还必须考虑一些细节问题,例如电路板主要特征的温度系数及其寄生效应。高性能 PC 板材料的供应商会提供这些数据。
2:选择电容器 – 对于输入和输出匹配电路,必须使用高 Q 值电容器,以降低流入和流出 LNA 的噪声系数。低 Q 值元器件会导致噪声系数降级 0.2 dB 到 1 dB 不等。广泛使用的 NPO 电容器具有较低的 Q 值和较高的损耗,因此应避免使用。陶瓷电容器具有最高 Q 值,但它们价格昂贵。依靠性能和成本分析,可以找到一种满意的折中方案。
3:电源旁路 - 这一点虽然众所周知,但经常被忽视,因此值得再三强调。必须细致、周到地在 IC 和其他位置实现直流电源旁路,以确保稳定、一致的高频性能。所选的旁路电容器在所需的频率下应具有最低阻抗,以实现最高的去耦性能。
例如,要进行高频去耦,1000 皮法 (pF) 的电容器并不是一个合适的选择。在 5 GHz 频率下,1000 pF 电容器的自谐振频率会让它看起来像个电感器,因此实际上可能与去耦的目的背道而驰。相反,应在靠近 LNA 的位置放置一个具有较小电容(通常小于 10 pF)的电容器。此外,设计中还应包含采用 1000 pF 与 0.01 µF 电容器并联组合的传统低频去耦功能。这些电容器不需要置于 LNA 的附近。
4:输入和输出匹配 - 尽管很多 LNA 的输入和输出具有 50 Ω 的阻抗,但有些 LNA 并非如此。即使它们具有 50 Ω 的阻抗,驱动 LNA 的电路和 LNA 输出所驱动的电路也可能不具备 50 Ω 的阻抗。因此,必须使用史密斯圆图创建匹配的电路,并使用 S 参数确立适当的匹配选项。同样,在 5G 频率下使用的无功无源元器件(电感器和电容器)会不可避免地产生各种类型的寄生效应:内部、附近的元器件上以及 PC 板上。
设计人员应当做到三点:选择为在这些频率下抑制寄生效应而设计的匹配元器件;确保在贴装元器件时将不可避免的寄生效应充分特征化;以及使用这些值对匹配电路进行建模并据此调整标称值。
5:电缆互连 - 有些 5G 系统需要在 PC 板及其带状线传输线路之外进行互连,因此需要使用物理电缆。如果使用了差分接口(通常采用这种方法保持电路平衡和提高噪声抗扰度),这些电缆互连可能需要使用时延匹配电缆对,而且两根电缆最好具有相同的传播特征。
因此,用于 5G 到 40 GHz 及更高频率的高性能电缆往往可将其延迟匹配至 1 psec(微微秒)。它们成对出售和使用,而且因为无法单独安装或更换,两根物理电缆都带有“箍带”,使其始终保持配对状态。利用这些电缆,差分电路可以在驱动下一级信号链时实现高端 LNA 的性能。
结论
5G 无线标准正在将工作频率推向更高水平,进入多 GHz 和数十 GHz 范围。它还要求模拟电路(尤其是低噪声放大器)具备更低的噪声/更低的失真性能。SiGe、SOI 和 GaAs 等新型 IC 工艺技术可以满足这些需求。但如果不重视射频在这些更高频率下遭遇的现实,优质 LNA 的性能将无从谈起。
全部0条评论
快来发表一下你的评论吧 !