《光学精密工程》—滑翔导弹末段多约束智能弹道规划

今日头条

1188人已加入

描述

滑翔导弹末段多约束智能弹道规划

来源:《光学精密工程》,作者邵会兵等

摘要:滑翔导弹末段飞行时空复杂度高、不确定性强、约束多,给弹道规划与制导算法带来了较大的建模和求解难度。针对这一问题,同时增大末段机动范围并提高弹道规划效率,本文提出一种利用连续型深度置信神经网络(Convolutional Deep Brief Networks,CDBN)预测机动能力、设计经由点状态实现末段多约束智能弹道规划的方法。过程中采用CDBN对机动能力进行在线预测,快速判定经由点状态的可行性,并且通过经由点状态智能设计,实现前后段能量的优化分配,扩大弹道机动包络;通过设计三角函数型弹目视线角实现末段弹道摆动机动,推导机动弹道最优末制导律对视线角进行跟踪,并调节机动频率以满足速度约束。仿真结果表明,CDBN相对BP网络具有更高的机动能力预测精度;本文所提智能弹道规划方法在满足末端速度约束的前提下,可以实现弹道摆动机动并大幅增加飞行包络。弹道规划能够在0.5 s内完成,满足工程应用的快速性要求。

关 键 词:滑翔导弹;机动能力预测;连续型深度置信网络;机动弹道规划

1 引 言

滑翔导弹是一种区别于传统弹道导弹、可在临近空间长时间高速滑翔、机动飞行的新型武器装备[1],具有飞行速度快、飞行高度高、飞行环境复杂的特点。为了满足现代化战争中实际作战需要,滑翔导弹需要具有对威胁区和拦截网进行规避、对拦截弹和探测网有效突防、为满足制导或侦察需求经由特定区域以及对目标进行高精度打击等能力。复杂的飞行环境、多变的战场态势、多类型的任务要求使滑翔导弹任务规划及弹道规划的时空复杂度急剧增加,亟需在相关技术中获得突破。

滑翔导弹末段打击任务对弹道末端倾角、速度等多种约束具有严苛的要求。同时,飞行过程中的绕飞探测任务需要导弹在满足速度、过载、姿态、终点状态等多约束前提下增加飞行通道、扩大机动区域、增加机动形式[2]。因此,需要开展末段多约束弹道规划和制导方法研究。

然而,滑翔导弹末段飞行的高时空复杂度、强不确定性和多约束的特点使相应的弹道规划与制导问题也具有了类似的特征,既难以精确建模,又难以快速精确求解,需要研究行之有效的解决方案。近年来,人工智能基础理论获得了突破发展,人工智能以其强大的学习能力与适应性在自动控制、航空航天等领域表现出突出的优势与应用前景。其中,基于深度学习神经网络的智能方法在解决各领域中具有复杂、不确定、多约束等特点的问题上获得了巨大成功。深度学习神经网络可通过大量样本的训练来逼近实际问题的真实模型,然后根据新的输入迅速给出对应的结果。因此,本文将结合深度学习神经网络,一方面解决滑翔导弹末段规划与制导中部分环节的复杂系统建模问题,一方面满足在线弹道规划与制导的快速性要求。

深度学习和传统的人工神经网络不同,在采用监督学习进行网络训练前,引入了梯度向上的非监督学习,利用无标记的训练样本逐层训练参数,通过对输入数据信息的充分利用有效地解决了上述问题,深度学习的深层非线性网络结构通过训练大量的样本数据学习有用的特征,逼近复杂的非线性函数。目前较为公认的深度学习基本模型包括卷积神经网络[3]、基于自动编码器的堆叠自动编码器[4]和基于限制玻尔兹曼机 (Restricted Boltzmann Machine, RBM)的深度置信网络(Deep Belief Network, DBN)[5]。DBN不仅在图像、语音、金融预测、模式识别等领域表现出较好的特征提取及学习能力,而且在多因素影响的特征提取及回归预测问题中也得到越来越多的应用研究,如储层预测[6]、用户投诉预测[7]、油井热采效率预测[8]、工业软测量建模[9]、疾病风险预警[10]等问题。

在智能弹道规划方面,魏黎明等人[11]利用BP神经网络设计了吸气式高超声速导弹突防弹道,在导弹工作动压窗口、攻角窗口的条件下,通过大量离线仿真数据训练BP神经网络以拟合得出导弹初始机动高度、马赫数、质量与机动时间之间的非线性映射关系,从而实现了通过机动初始条件预测机动时间。方科等人[12]基于BP神经网络设计了高超声速再入飞行器时间可控再入制导律,通过离线仿真获得时间预估BP网络训练集,并采用贝叶斯正则化算法进行离线训练,从而实现了对剩余再入飞行时间的预估。相关研究主要集中于采用智能优化算法进行轨迹优化设计,以及采用大量离线数据训练神经网络以实现对弹道规划过程中相关参数的在线快速预测两个方面。

为了增大滑翔导弹的末段机动范围并降低弹道规划难度,本文提出一种利用经由点设计实现末段多约束智能弹道规划的方法。通过智能规划经由点状态,扩大导弹机动包络,同时保证有足够的能量实现对目标的多约束精确打击。经由点的智能设计中,将采用深度置信神经网络建立机动能力预测模型,快速判定经由点状态的可行性,实现经由点前、后段能量的合理分配,提高经由点在线设计的效率。

为满足弹道摆动机动需求,本文将导弹相对目标点的视线角设计为三角函数形式,并通过设计机动弹道最优末制导律,实现对期望视线角的跟踪,最后通过调节视线角的机动频率满足期望的速度约束。

2 基于CDBN的末段机动能力预测

2.1 机动能力预测流程

结合任务需求,弹头在滑翔末段需要判断从当前状态是否能够到达给定终端状态,为经由点或机动指令的设计提供基础。滑翔末段机动能力可通过比较导弹当前位置能量状态与限定终端状态后反向推算出的当前位置所需最小能量状态进行衡量。其中当前位置所需最小能量状态是指,弹头从当前位置按当前速度方向,以最省能量弹道到达给定终端位置时,恰好满足终端速度大小及方向约束,所对应的初始能量状态。由于无动力导弹质量恒定,故能量状态可用速度来表示。

因此,对导弹机动能力的预测可以通过建立相应的神经网络模型来进行。即选取关键的状态变量作为神经网络的输入,预测的能量状态作为输出。通过优化设计获得样本库,利用样本库对神经网络进行离线训练,通过神经网络模型实现对机动能力的在线预测。机动能力预测流程图如图1所示。

深度学习

图1 机动能力预测流程图

Fig.1 Flowchart of maneuverability prediction

假定地球模型为均质非旋圆球,则滑翔末段机动能力主要受当前点的状态、终点状态以及当前点与终点的相对状态的影响。输入变量包括当前点状态中的速度倾角θ、高度H,终点状态中的末端速度VfD、末端落角θfD、末端高度HfD,当前点与终点相对状态中的航向角偏差Δψ、水平距离L、末端航向角偏差ΔψfD。

输出变量为当前位置、当前速度方向下,保证飞行终点满足给定终端状态的当前最小速度Vmin。

样本生成中,内层采用角度约束最优末制导律获得满足末端约束的能量最优弹道,外层采用牛顿迭代法获得满足末端约束的最小初始速度。

预测模型采用连续型深度置信神经网络。

2.2 机动能力预测样本库构建

对每一个包含当前状态、终端状态和相对状态的输入X=(H, L, θ,Δψ, VfD, θfD, ΔψfD, HfD),采取牛顿迭代的方法,可得到满足末端约束的最小初始速度Vmin,步骤如下:

(1)取当前时刻速度大小初值为V0,基于角度约束最优末制导律[13]:

深度学习

(1)

其中:γD为弹道倾角,

深度学习

为剩余飞行时间,λD为高低视线角。

从当前位置积分到终端状态,得到末速Vfmax,得到f(V0)=(Vfmax-VfD)2。

(2)通过牛顿迭代法搜索速度V0f

深度学习

(2)

直至式(3)成立:

|Vfmax-VfD|<ε,

(3)

最终得到的V0f即为满足末端约束的最小初始速度Vmin。

给定多组输入,通过上述计算可获得相应的Vmin作为机动能力预测输出变量,构成机动能力预测样本库。

2.3 深度置信网络及其训练

深度置信网络(DBN)是典型的深度学习算法,于2006年由Hinton研究组在《Science》上提出,其通过无监督贪婪学习算法逐层优化深度置信网络的连接权重和阈值。深度置信网络实际上借鉴了人脑的多层抽象的机能,通过大量的限制玻尔兹曼机单元(可看作神经元)构成深度置信网,利用输入和输出的非线性关系,近似复杂的多输入函数,它在提取输入样本的特征时具有较好的性能。

通常DBN网络中RBM单元可视层的输入必须为二值状态,由于机动能力预测问题中输入数据为连续型数值,因此直接利用传统二值DBN网络来进行预测会存在问题。为解决这一问题,本文通过在网络的RBM单元可视层中加入高斯噪声附加项使其转变成连续型RBM(Continuous RBM, CRBM),使得网络具有对连续型特征值的处理能力。

深度置信网络是一个概率生成模型,拥有深层的网络结构,可以看作由多个CRBM堆叠而成,最底层接收输入数据向量,并通过CRBM转换输入数据到隐含层,通过对多个CRBM进行堆叠可从机动能力预测问题的复杂原始输入数据中获得一些高层非线性特征,在最顶层添加一层BP网络,即可对输出量即最小初始速度,进行回归预测。深度置信网络的训练由无监督的逐层预训练和有监督的微调两个过程组成。下面给出用于机动能力预测的深度置信网络结构和训练过程。

对应于机动能力预测的完整深度置信网络结构如图 2所示,深度置信网络模型由最底层接收机动能力预测问题的输入数据(H, L, θ, Δψ, VfD, θfD, ΔψfD, HfD),第一层和第二层形成一个CRBM,第二层和第三层形成第二个CRBM,依次类推。将最上层CRBM的输出层得到的结果,即提取得到的高层非线性特征,输入到BP网络中进行回归预测。输入层的节点数由输入数据的维数决定,输出层为归一化后的最小初始速度,节点数为1。

深度学习

图2 深度置信网络的结构图

Fig.2 Diagram of deep belief network structure

限制玻尔兹曼机CRBM模型基于能量生成,能够学习数据的固有内在表示。每个CRBM包含一个可视层和一个隐含层,只有可视层和隐含层单元之间有双向连接权值,而可视层内部各单元及隐含层内部各单元之间没有连接。

传统RBM的结构单元为二值状态,为了处理连续数据,CRBM在可视层sigmoid激活函数sig(x)=1/(1+e-x)中加入一个均值为0、方差为σ2的高斯单元,常数σ和Nj(0, 1)共同产生了高斯输入分量nj=σNj(0, 1)。

隐含层的激活概率为:

深度学习

(4)

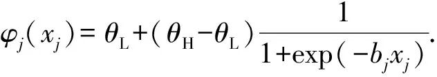
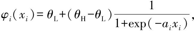
其中,函数φj的表达式为:

深度学习

(5)

同理,可视层的激活概率为:

深度学习

(6)

深度学习

(7)

其中: I为可视单元的数量,J为隐含单元的数量。θL, θH分别为sigmoid函数的下渐近线和上渐近线,一般取θH=1, θL=-1,参数bj是控制sigmoid函数斜率的变量,当bj由小变大时,单元就可以从无噪声的确定性状态向二进制随机状态平滑过渡。

在给定可视层单元v={v1, v2, v3, …, vI}∈[0, 1]、隐含层单元h={h1, h2, h3, …, hJ}∈[0, 1]、权重矩阵w、可视层单元的斜率a和隐含层单元斜率b的条件下,所有可视单元和隐含单元联合状态(v, h)的能量函数为[14]:

深度学习

(8)

可视层向量v的独立分布为:

深度学习

(9)

因为CRBM的同一层任何两个单元之间没有连接,因此给定一个随机输入的可视层向量v,各隐含层单元相互独立,隐含层向量h的概率如式(10)所示。类似的,给定一个随机输入隐含层向量h,得到对应可视层向量v的概率如式(11)所示:

深度学习

(10)

深度学习

(11)

CRBM的本质就是使学习到的模型符合输入样本分布的概率最大,即在给定训练数据的情况下,通过调节相应的参数,使式(9)的概率p(v)的值达到最大。由式(9)可知,可以通过调节权重矩阵w、可视层单元斜率a和隐含层单元斜率b去降低能量函数值,间接提高p(v)的值。基于极大似然估计理论,对式(9)两边取对数,然后执行随机梯度下降,可以从训练样本中学习CRBM模型的参数θ={ai, bj, wji},使概率p(v)的值最大。

以对比散度(Contrastive Divergence,CD-k)算法应用最为广泛[14]。通过使用对比散度算法,k次更新即可完成训练,一般取为1,参数更新公式如式(12):

Δwji=γ(〈vihj〉0-〈vihj〉k),
 

深度学习


 

深度学习

(12)

其中γ表示学习率,取值在[0, 1]之间,一般根据经验确定。

在逐层无监督训练完成后,通过在最顶层添加标签数据,对深度置信网络进行有监督训练,即采用反向传播算法对深度置信网络的相关参数进行微调。与无监督训练中每次训练一层相比,反向传播有监督微调同时对所有层的参数进行更新,以进一步减少训练误差和提高深度置信网络的预测精度。

全局有监督微调利用网络输出误差对各权值的梯度来调整所有权值,直至误差收敛。在模型的微调过程中,有两类参数需要调整:层之间的连接权值、斜率控制项。先求出连接权值、斜率控制项的梯度值[15],再利用拟牛顿法优化算法对各参数进行优化。

样本的目标函数值为:

深度学习

(13)

其中:x是CRBM的样本输出数据,FW, a(x)是网络的输出数据。

3 飞行末段多约束智能弹道规划

为了增大滑翔导弹的末段机动范围并降低弹道规划难度,本文通过智能规划经由点,实现末段多约束智能弹道规划。

导弹通过智能规划末段经由点状态,可以扩大机动包络,同时保证有足够的能量实现对目标的多约束精确打击。在经由点的智能规划过程中,采用上节中训练好的深度置信网络进行机动能力预测,快速判定经由点状态的可行性,实现经由点前、后段能量的合理分配,提高经由点在线设计的效率。经由点位置的设计,需要为后段增强突防能力的弹道摆动机动预留一定的速度增量,因此在迭代搜索经由点位置时,在期望终端速度的基础上增大一定速度增量作为经由点位置迭代的速度约束。

为满足弹道摆动机动需求,本文将导弹相对目标点的视线角设计为三角函数形式,并通过设计机动弹道最优末制导律,实现对期望视线角的跟踪,最后通过机动频率迭代满足期望的速度约束。

3.1 经由点规划

经由点规划采用内外两层规划的方法:内层固定经由点的位置,通过搜索最优的经由点速度方向约束,使到达目标点的终端速度最大;外层基于经由点Z向位置与终端速度的单调关系,以期望终端速度为约束,通过牛顿法迭代得到经由点Z向位置。经由点规划流程见图3所示。

深度学习

图3 经由点规划流程图

Fig.3 Flow diagram of waypoint planning

(1)经由点的位置设计。将以下压段起始点作为始点、目标点作为终点、采用角度约束最优制导律获得的弹道,作为基准弹道。

为降低规划难度,取基准弹道上射程中点对应的点作为经由点包络的中心。导弹从经由点到达目标点时末端速度恰好满足给定约束时对应的经由点位置,即为最大机动能力对应的经由点位置。

经由点在该点弹道法平面上的不同坐标,对应着不同的机动范围,因此将经由点位置对应的设计量取为Z向坐标。

(2)对于经由点处的速度方向,可根据初始点及终端状态给出其可行的范围,并以此为基础进行经由点速度方向设计。

如图4所示,设从当前点到经由点为A段,从经由点到终端状态为B段。导弹按比例导引律从当前点导引至经由点,到达经由点时的速度矢量方向可视为使A段能量最优的经由点速度方向eviaA;固定经由点位置及终端状态,使经由点速度最小的速度方向即为使B段能量最优的经由点速度方向eviaB。经由点速度矢量ev在eviaA与eviaB形成的扇面内取值,可留出更多能量用于机动。

深度学习

图4 经由点速度方向设计示意图

Fig.4 Diagram of waypoint velocity direction designing

(3)在固定经由点位置时,随着经由点速度方向约束的变化,末端速度呈现先增大后减小的单峰曲线形式,采用黄金分割法即可一维搜索求得在当前经由点位置下使末端速度最大的最优速度方向约束:

J=-Vfmax.

(14)

过程中基于当前位置和速度方向状态和经由点的位置及速度方向约束计算X=(H, L, θ, Δψ, VfD, θfD, ΔψfD, HfD),将其输入训练好的深度置信网络,得到在当前位置、当前速度方向下,保证飞行终点满足给定终端状态的当前最小速度Vmin。进而判定经由点状态的可行性。

通过牛顿迭代法更新经由点位置,并搜索相应的最优航向角。由于经由点位置与末端速度存在单调关系,可搜索得到满足期望速度约束的经由点位置。

深度学习

(15)

由于经由点位置的设计,需要为后段的弹道摆动机动预留一定的速度增量,因此在迭代搜索经由点位置时,在期望终端速度的基础上增加一定速度增量作为经由点位置迭代的速度约束。

VDf=Vf+ΔV,

(16)

其中ΔV为弹道摆动机动所需的速度增量。

3.2 三角函数型机动弹道规划

对于从经由点到目标点的飞行段,本文引入三角函数型机动,即在期望角度上叠加三角函数型视线角函数。机动弹道规划流程如图5所示。

(1)视线角函数幅值根据局部机动范围需求而确定,一般取1°左右即可满足。在局部机动范围较小时,将机动形式由单边改为双边并进行相位调整,以满足机动范围及机动形式要求。

(2)通过机动弹道最优制导律得到制导指令,积分得到到达目标点时的终端速度。

(3)针对末端速度约束,根据机动频率与末端速度的正比关系,通过在线大步长弹道快速积分,对视线角函数的机动频率进行迭代修正,得到满足末端速度约束的机动频率,完成弹道规划。

(4)在实际飞行中,由于大气密度偏差等因素,实际弹道状态量(主要是速度)相对规划弹道会存在一定偏差,因此每隔一定周期需要进行一次弹道重规划。

深度学习

图5 机动弹道规划流程图

Fig.5 Flow diagram of maneuvering trajectory planning

3.3 机动弹道最优制导律设计

对于局部机动范围需求,将导弹相对目标点的视线角设计为三角函数形式,通过调节三角函数型视线角的幅值、频率和相位,满足期望的机动形式和局部机动范围,并通过最优控制实现对期望视线角的跟踪,最终实现末制导与机动的一体化设计。

以第二段角度约束末制导与三角函数型机动的一体化设计为例,分别在俯冲平面和侧向平面内进行设计。

为实现在精确攻击前提下的机动飞行,设计以射程为自变量的俯冲平面附加视线角为:

深度学习

(17)

其中:kD为频率系数,φDN为幅值系数,Lf为末段总射程,L为当前射程。考虑防空系统的最低拦截高度,同时减小机动对制导精度的影响,设置机动结束高度hme。

在俯冲平面内,为了在满足落角约束的同时使视线角按照期望的运动规律变化,可取状态变量分别为视线角偏差以及视线角速率偏差:

深度学习

(18)

其中:γDF为终端期望落角,λDN为期望视线角,λD为高低视线角。

为了简化制导问题,将俯冲段运动分解到俯冲平面及侧向平面内,分别建立相对运动方程:

深度学习

(19)

其中:γD为弹道倾角,γT为弹道偏角。

转化为状态空间方程的形式:

深度学习

(20)

其中

深度学习

为剩余飞行时间。

为简化制导问题的建模及求解,可引入伪控制量:

深度学习

(21)

状态空间方程可进一步改写为:

深度学习

(22)

根据最优控制理论极大值原理,线性系统二次型性能指标对应的最优控制律形式为:

us=-R-1BTPx.

(23)

基于最优控制理论及Riccati方程,得俯冲平面机动突防最优制导律:

深度学习

(24)

在侧向平面内,同样以射程为自变量设计附加视线角为:

深度学习

(25)

其中:kT为频率系数,φDT为幅值系数。

假设对飞行器进入方向没有约束,则在侧向平面取状态变量为:

深度学习

(26)

同理,以能量最省为性能指标,可获得侧向平面机动最优制导律为:

深度学习

(27)

4 仿真分析

采用美军CAV滑翔弹头的总体及气动参数,取俯冲段高度h0=30 km,距目标点射程L0=100 km,速度V0=2 500 m/s,速度倾角θ0=-10°,航迹偏航角σ0=0°,攻角α∈[-20°, 20°],落角约束λDF=-60°,末端速度约束Vf≥800 m/s。落点位置精度要求Δx≤1 m,落角精度要求Δλ≤1°,速度精度要求ΔV≤2 m/s。φDN=φDT=1°,kD=kT,机动结束高度hme=2 km。

机动能力预测的样本容量取为30 000,其中27 000个作为训练样本,3 000个作为测试样本。依据随机运行的平均结果选择最优的参数配置,本文使用平均相对误差(Mean Relative Error,MRE)作为评价指标,通过下式计算得到:

深度学习

(28)

其中:yi为真实值,

深度学习

为预测值,n为样本数据量。

深度置信网络模型的结构参数,影响训练过程和预测结果误差。根据已有研究以及数据特点,CDBN的学习率取为γ= 0.02,CRBM最大迭代次数取为200。为了使训练效果达到最优化,减小误差,对预测模型训练的隐层层数和隐层节点数进行对比优选。本文取隐层数目为2~6 层,设定隐层节点数为24,对隐层数目进行优选,结果如表1 所示。

表1 隐层数目的影响

Tab.1 Effect of number of hidden layers

深度学习

表中比较了隐层数目对预测误差的影响,当隐层数目为3时,MRE值为4.6%,预测模型准确度最高。隐层数目小于3时,模型误差随隐层数目增加而减小;隐层数目大于3 时,模型误差随隐层数目增大而增大,模型凸显“过拟合”效应。

对于隐含层神经元个数的选取尚无理论上的指导,没有统一的经验公式。假定隐层数目为3,讨论和确定适宜的节点数目。本文讨论最后一层隐含层节点数目为4~20时的预测效果。

表2 最后一层隐含层节点数目的影响

Tab.2 Effect of nodes number in the last hidden layer

深度学习

由表2可知,节点数为12时,模型预测效果最佳。综上,本文设定预测模型的隐层数目为3,各隐层的节点数为24-24-12。最终确定CDBN的网络结构为8-24-24-12-1。

将设计好的CDBN与BP网络进行对比,考虑多层BP网络存在梯度消失问题,取BP网络结构为8-80-80-1,对3 000个测试样本进行预测,对比散点图与拟合误差散点图分别如图6与图7所示。从图 7可以看出,相对于BP网络,CDBN明显具有更小的训练误差。

深度学习

图6 CDBN的预测结果散点图

Fig.6 Scatter diagram of CDBN prediction results

深度学习

图7 CDBN与BP的测试误差散点图

Fig.7 Scatter diagram of test results for CDBN and BP

由图8可以看出,CDBN网络的初始误差得到减小,误差的下降速度也快于BP网络。这是由于CDBN通过对三层CRBM的贪婪无监督预训练,获得了更好的神经网络权值。

深度学习

图8 CDBN与BP的训练残差对数曲线

Fig.8 Logarithm of training error results for CDBN and BP

接下来进行经由点规划,并进一步规划末段机动弹道。首先将经由点位置的Z向坐标初值取为Z=5 km,不同的经由点速度方向对应着不同的末端速度,一般随着航向角的增大,末端速度呈现先增大后减小的趋势,由此可以得到在该经由点位置下的最优速度方向。

表3 航向角对末端速度的影响

Tab.3 Effect of heading angle on terminal velocity

深度学习

经过黄金分割法搜索,当前经由点位置Z=5 km 下的最优航向角为-10°。进一步,根据牛顿迭代法更新经由点位置,并搜索相应的最优航向角。为了给弹道机动预留速度增量,在期望终端速度的基础上增大100 m/s作为经由点位置设计的速度约束,通过牛顿迭代搜索得到满足该速度约束的经由点位置。

终端速度随经由点Z向位置的变化曲线如图9所示。经过迭代搜索,经由点的最大侧向位置为Z=5.36 km,对应的最优航向角约束为-12°。

深度学习

图9 终端速度随经由点Z向位置的变化

Fig.9 Terminal velocity versus Z position of waypoint

对于期望的末端速度约束,根据机动频率与末端速度的单调性,迭代搜索得到三角函数型视线角的机动频率系数kD=4.02。终端速度随机动频率的变化曲线如图10所示。

深度学习

图10 终端速度随机动频率系数的变化

Fig.10 Terminal velocity versus maneuvering frequency coefficient

末段规划弹道如图11~图15所示。

深度学习

图11 攻角随时间的变化曲线

Fig.11 Time histories of attack angle

深度学习

图12 倾侧角随时间的变化曲线

Fig.12 Time histories of bank angle

由俯冲段弹道参数曲线,落点位置误差为0.2 m,落角误差为0.4°,速度误差为0.5 m/s,机动弹道规划耗时0.5 s。表明本文所提的弹道规划方法在实现摆动机动飞行的同时,能够高精度地满足终端落点、落角及速度约束条件。

深度学习

图13 三维弹道曲线

Fig.13 Three-dimensional trajectory curve

深度学习

图14 速度曲线

Fig.14 Time histories of velocity

深度学习

图15 弹道倾角曲线

Fig.15 Time histories of flight path angle

5 结 论

本文针对滑翔导弹末段多约束智能弹道规划问题展开研究,取得了如下研究成果:

针对连续数值型机动能力预测问题,提出了一种离线训练CDBN用于在线预测的方法。仿真表明基于CDBN的机动能力预测相对于BP网络具有更高精度,且具有较高的效率。通过智能规划经由点的Z向位置与航向角,优化了末段能量分配,在保证对目标多约束精确打击的同时增大了末段机动范围。针对增强突防能力的弹道摆动机动,引入了三角函数形式的弹目视线角,设计了机动弹道最优末制导律,实现了对期望视线角的跟踪,最后通过调节机动频率实现了速度控制。落点位置、落角、速度误差分别为0.2 m,0.4°,0.5 m/s。弹道规划最大耗时为0.5 s,能够满足工程应用的快速性要求。

关注微信公众号:人工智能技术与咨询。了解更多咨询!

审核编辑:符乾江

打开APP阅读更多精彩内容
声明:本文内容及配图由入驻作者撰写或者入驻合作网站授权转载。文章观点仅代表作者本人,不代表电子发烧友网立场。文章及其配图仅供工程师学习之用,如有内容侵权或者其他违规问题,请联系本站处理。 举报投诉

全部0条评论

快来发表一下你的评论吧 !

×
20
完善资料,
赚取积分