许多雷达系统需要低相位噪声,以最大限度地提高杂波抑制。高性能雷达需要仔细注意相位噪声,因此在降低频率合成器的相位噪声和表征频率合成器组件的相位噪声方面需要大量设计投资。
众所周知,低相位噪声性能(特别是超低相位噪声性能)需要低噪声电源才能实现最佳性能。目前还没有充分记录的是量化电源噪声电压电平对相位噪声影响的系统方法。本文旨在改变这一点。
介绍了电源调制比(PSMR)理论,即如何将其调制到RF载波上的电源缺陷的度量。RF放大器的特征在于,测量结果表明,可以计算并相当准确地预测电源噪声对相位噪声的贡献。基于该结果,讨论了电源规格的系统方法。
简介和定义
电源调制比类似于众所周知的电源抑制比(PSRR)术语,但有一个关键点不同。PSRR是衡量电源缺陷与组件输出直接耦合的程度的指标。PSMR是衡量如何将纹波和噪声的电源缺陷调制到RF载波上的指标。
下面的理论部分介绍了H(s),这是一种将PSMR与电源缺陷相关的传递函数,即如何将它们量化地调制到载波上。H(s)具有幅度和相位分量,并且可能随频率和分量工作条件而变化。尽管存在许多变量,但一旦表征,电源调制比可用于根据电源数据手册中纹波和噪声的规格准确预测电源的相位噪声和杂散贡献。
理论
考虑RF组件的直流电源上的纹波。电源纹波被建模为正弦波信号,其峰峰值电压以直流输出为中心。正弦波被调制到RF载波上,产生频率偏移等于正弦波频率的杂散信号。

图1.电源上的正弦波纹波调制到RF载波上以产生杂散信号。
杂散电平是正弦波幅度和RF电路灵敏度的函数。杂散信号可以进一步细分为调幅分量和相位调制分量。总杂散功率电平等于调幅(AM)分量的杂散功率加上相位调制(PM)分量的杂散功率。
对于此处的讨论,H(s)是从电源缺陷到RF载波上不需要的调制项的传递函数。H(s)也有AM和PM组件。H(s) 的 AM 成分是 Hm(s) 和 H(s) 的 PM 分量为 H∅以下等式利用H(s)进行实际的RF测量,假设低调制水平可以接受电源对RF载波的影响。
信号的幅度调制可以写为

调幅分量m(t)可以写为

其中 fm是调制频率
RF载波的AM调制电平可与电源纹波直接相关:

v有效值是电源电压的交流分量的均方根值。公式3是关键公式,它提供了一种机制来计算RF载波因电源纹波引起的AM调制。
杂散电平可通过幅度调制计算:

电源对相位调制的影响也可以类似地写出来。相位调制信号为

相位调制项为

同样,相位调制可以直接与电源相关:

公式7提供了一种机制,用于计算电源纹波引起的RF载波的PM调制。相位调制引起的杂散电平为

帮助可视化 m 的杂散影响有效值和∅有效值,杂散电平与 m 的关系图有效值和∅有效值如图 2 所示。

图2.杂散电平与m有效值和∅有效值.
总结一下这个讨论,电源上的纹波转化为调制项m有效值和∅有效值从V电源上的正弦波均方根电压有效值.Hm(s)和H∅(s) 是来自 v 的传递函数有效值到 m有效值和∅有效值分别。
现在,考虑相位噪声。正如正弦波调制到载波上产生杂散信号一样,1/f电压噪声密度调制到载波上产生相位噪声。

图3.电源上的 1/f 噪声调制到射频载波上以产生相位噪声。
同样,如果我们考虑具有相位调制的信号x(t),则

在这种情况下,∅(t)是一个噪声项。
功率谱密度定义为

相位噪声由功率谱密度定义为

接下来,相同的 H∅ (S) 用于由电源纹波产生的相位调制产生的杂散,应用于相位噪声。在这种情况下 H∅ (s) 用于根据电源上的 1/f 噪声计算相位噪声。


测量示例
为了演示这些原理,HMC589A RF放大器通过使用多个电源测量这些量来表征电源灵敏度和相位噪声。用于表征的HMC589A评估电路如图4所示。

图4.HMC589A放大器用于演示PSMR原理。
为了表征电源灵敏度,在5 V电源上注入正弦波。正弦波在RF上产生杂散,杂散信号以dBc为单位测量。杂散内容进一步分解为AM分量和PM分量。使用了罗德与施瓦茨FSWP26相位噪声分析仪和频谱分析仪。AM和PM杂散电平分别通过AM和PM噪声测量进行测量,并启用杂散测量。结果在 3.2 GHz 和 RF 输入为 0 dBm 的测试条件下以表格形式列出。
| 输入正弦波 | 测量的杂散 | 计算的 H(s) | |||||
| 频率 | V (有效值) | 杂散 (分贝) | 杂散 (分贝) 上午 | 杂散 (dBc) PM | H (s) | H (s) 上午 | 下午 H (s) 下午 |
| 100 | 0.01 | –52.2 | –57.3 | –53.7 | 0.35 | 0.19 | 0.29 |
| 1000 | 0.01 | –52.4 | –57.2 | –54 | 0.34 | 0.20 | 0.28 |
| 10000 | 0.01 | –53.5 | –58.3 | –55.3 | 0.30 | 0.17 | 0.24 |
| 50000 | 0.0066 | –61 | –65 | –62.9 | 0.19 | 0.12 | 0.15 |
测试数据表明,射频放大器的电源灵敏度可以通过正弦波调制进行经验测量,结果可用于预测电源噪声对相位噪声的贡献。更一般地说,这可以扩展到任何RF组件;在这里,我们通过放大器表征和测量来演示原理。
首先,使用了相当嘈杂的电源。测量噪声密度。电源对相位噪声的贡献是根据表征的H∅(s)并与相位噪声测量进行比较。Rhode & Schwarz FSWP26用于测量。噪声电压通过基带噪声测量进行测量。放大器残余相位噪声是使用测试装置的内部振荡器通过加性相位噪声测量来测量的。测试配置如图 5 所示。在这种配置中,振荡器噪声在混频器中被消除,任何不常见的噪声都会在互相关算法中被消除。这允许用户实现非常低水平的残余噪声测量。

图5.使用互相关方法进行放大器残余相位噪声测试设置。
电源噪声、实测相位噪声和预测的电源噪声贡献如图6所示。显而易见的是,相位噪声主要由100 Hz至100 kHz偏移之间的电源主导,并且可以准确预测电源贡献。

图6.使用嘈杂的电源验证技术。
使用两个额外的电源重复测试。结果如图 7 所示。同样,电源对相位噪声的贡献是非常可预测的。

图7.使用两个额外的电源验证该技术。
低相位噪声元件表征的一个常见挑战是确保测量是针对器件而不是周围环境进行的。为了消除测量中的电源贡献,使用低噪声稳压器ADM7150。数据手册中引用的噪声密度以及用于相位噪声测试的器件的噪声电压测量值如图8所示。


图8.低噪声稳压器ADM7150噪声电压密度
表2显示了一系列低噪声稳压器,并列出了关键参数。此处所示的器件都非常适合为低相位噪声RF设计中的RF组件供电;有关条件和特性曲线,请参阅数据手册。在数据手册中,噪声密度和PSRR曲线包含在多个失调频率上。表中显示了10 kHz偏移的噪声密度,因为该区域通常是许多稳压器的限制器。图中显示了1 MHz偏移的PSRR,因为许多线性稳压器在这些失调时会失去抑制能力,需要额外的滤波。
| 部件号 | V在范围 | V外范围 | 我外 | 固定/可调 | 噪声密度 @ 10 kHz | PSSR @ 1 MHz |
| LT3042 | 1.8 V 至 20 V | 0 V 至 15 V | 200毫安 | 可调 | 2 nV/√赫兹 | 79分贝 |
| LT3045, LT3045-1 | 1.8 V 至 20 V | 0 V 至 15 V | 500毫安 | 可调 | 2 nV/√赫兹 | 76分贝 |
| ADM7154 | 2.3 V 至 5.5 V | 1.2 V 至 3.3 V | 600毫安 | 固定 | 1.5 nV/√Hz | 58分贝 |
| ADM7155 | 2.3 V 至 5.5 V | 1.2 V 至 3.4 V | 600毫安 | 可调 | 1.5 nV/√Hz | 57分贝 |
| ADM7150 | 4.5 V 至 16 V | 1.8 V 至 5 V | 800毫安 | 固定 | 1.7 nV/√Hz | >60分贝 |
| ADP7156 | 2.3 V 至 5.5 V | 1.2 V 至 3.3 V | 1.2 安培 | 固定 | 1.7 nV/√Hz | 60分贝 |
| ADP7157 | 2.3 V 至 5.5 V | 1.2 V 至 3.3 V | 1.2 安培 | 可调 | 1.7 nV/√Hz | 55分贝 |
| ADP7158 | 2.3 V 至 5.5 V | 1.2 V 至 3.3 V | 1 " | 固定 | 1.7 nV/√Hz | 50分贝 |
| ADP7159 | 2.3 V 至 5.5 V | 1.2 V 至 3.3 V | 1 " | 可调 | 1.7 nV/√Hz | 45分贝 |
由ADM7150供电时HMC589A残余相位噪声测试结果如图9所示。该测量结果显示了放大器的真实性能,其中本底噪声低于–170 dBc/Hz,并且该性能一直保持到10 kHz偏移。

图9.HMC589A残余相位噪声为3.2 GHz,输入RF功率为0 dBm,直流电源来自ADM7150稳压器。
电源规格的系统化方法
低相位噪声应用的电源设计通常会导致随意选择可用的最佳稳压选项,而忽略实际的最小规格,从而导致可能的过度设计。对于小批量设计,这种方法可能值得继续,但对于大批量生产,必须优化性能、成本和复杂性 - 过度设计可能是一种不受欢迎的奢侈品。
以下是定量推导电源规格的方法:
在电源上使用正弦波调制来表征H(s)。H(s)将是频率的函数,每十年测试一次
为杂散和相位噪声分配电源贡献,并略低于RF规格
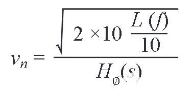
计算电源纹波规格,

计算电源噪声规格,

上述步骤 1 中的一个重要考虑因素是了解 H 如何m(s)和H∅(s) 根据设计中预期的操作条件而变化。在HMC589A表征中,在多个功率电平下测量了这种变化,如图10所示。


图 10.H的变化m(s)和H∅(s)与HMC589A评估电路中3.2 GHz时的失调频率和功率电平的关系。
总结
虽然人们普遍认为,在RF应用中应限制电源纹波和噪声,但定量影响很少(如果有的话)得到很好的理解。此处所示的系统方法使工作工程师能够做出明智的电源选择,方法是在量化电源对所需RF性能的影响的过程中引入纪律。
审核编辑:郭婷
全部0条评论
快来发表一下你的评论吧 !