MEMS加速度计作为现代状态监测(CM)系统中的振动传感器刚刚成熟。最近在测量范围、带宽和分辨率(噪声)方面的扩展正在实现新的概念和系统架构,因为CM开发人员一直在等待利用MEMS传感器的尺寸、成本和可靠性优势的机会。当系统架构师进行早期可行性研究时,有些人可能需要评估特定传感器支持一系列振动幅度(V最低/ 5.MAX) 和频率 (f最低- G.MAX).当幅度属性以速度表示时,开发人员需要将其转换为加速度,以便根据关键传感器规格(噪声、范围)对其进行评估。公式1提供了一种弥合该差距的方法,方法是取单个频率(fV) 速度模型 V(t),以推导出等效加速度公式 a(t)。

公式1中的加速度公式提供了生成简单公式的机会,该公式将其峰值和均方根水平与等效速度水平相关联(参见公式2)。

这些关系的均方根形式可以通过假设通过系统振动边界中应力最大的部分(最小频率(f最低)和幅度(V最低).在根据行业标准振动严重性分类评估特定加速度计时,这种形式的关系非常有用。例如,公式3确定,在最小振动频率为10 Hz时,加速度测量中的噪声必须小于7.18 mg,才能根据ISO-10816-1(V最低= 1.12 毫米/秒)。

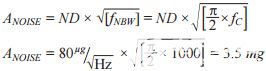
将加速度计的噪声密度 (ND) 乘以噪声带宽的平方根 (fNBW) 提供了一种相对简单的方法来估计特定加速度计和滤波器配置中的总噪声。
公式4以通用形式提供此数据,并举例说明,当ADXL357加速度计(ND = 80 μg/√Hz)与截止频率为1000 Hz(fC= 1000 Hz)。在4.7 mg时,ADXL357似乎满足公式3中的边界条件。

等式2的峰形式(见等式5)为估计另一个重要的边界条件提供了工具;加速度计中的测量范围。公式5还给出了一个具体示例,该示例确定根据ISO-1081-1(V.MAX= 28 毫米/秒),频率为 1000 Hz (f.MAX) 的测量范围至少为 ±25.3 g。

虽然最终的传感器选择可能需要额外的考虑和验证,但在投资早期测试平台和表征之前,这种分析水平有助于确保遵守最基本的边界条件。
审核编辑:郭婷
全部0条评论
快来发表一下你的评论吧 !