MEMS陀螺仪提供了一种测量角旋转速率的简单方法,封装易于连接到印刷电路板;因此,它们是许多不同类型的运动控制系统中用作反馈传感元件的热门选择。在这种类型的功能中,角速率信号(MEMS陀螺仪输出)中的噪声会对关键系统行为(如平台稳定性)产生直接影响,并且通常是控制系统可以支持的精度水平的决定性因素。因此,对于系统架构师和开发人员来说,低噪声是定义和开发新的运动控制系统的自然指导价值。将该值(低噪声)更进一步,将关键的系统级标准(如指向精度)转换为MEMS陀螺仪数据手册中常用的噪声指标,是早期概念和架构工作的一个非常重要的部分。了解系统对陀螺仪噪声行为的依赖性有许多好处,例如能够为反馈传感元件建立相关要求,或者相反,分析系统级对特定陀螺仪噪声的响应。一旦系统设计人员很好地理解了这种关系,他们就可以专注于掌握他们对角速率反馈环路中噪声行为的两个关键影响领域:1.为MEMS陀螺仪选择制定最合适的标准和2.在传感器的整个集成过程中保持可用的噪声性能。
运动控制基础
要建立MEMS陀螺仪中的噪声行为与其如何影响关键系统行为之间的有用关系,通常首先要对系统的工作原理有基本的了解。图1提供了一个运动控制系统的示例架构,它将关键系统元件分解为功能块。此类系统的功能目标是为对惯性运动敏感的人员或设备创建一个稳定的平台。一个例子应用是自动驾驶汽车平台上的微波天线,它在恶劣的条件下以导致车辆方向突然变化的速度操纵。如果没有对指向角度的实时控制,这些高度定向的天线可能无法在经历这种类型的惯性运动时支持连续通信。

图1.运动控制系统体系结构示例。
图 1 中的系统使用伺服电机,理想情况下,伺服电机的旋转方式与系统其余部分将经历的旋转相等且相反。反馈环路从MEMS陀螺仪开始,该陀螺仪观察旋转速率(φG) 在稳定平台上。然后,陀螺仪的角速率信号馈入特定应用的数字信号处理,包括滤波、校准、对齐和积分,以产生实时的方向反馈(φE).伺服电机的控制信号(φ科尔) 来自该反馈信号与命令方向 (φCMD),可能来自中央任务控制系统,也可能仅表示支持平台上设备理想运行的方向。
示例应用程序
从图1中运动控制系统的架构角度来看,有价值的定义和见解也来自分析特定于应用的物理属性。考虑图 2 中的系统,它提供了生产线自动检测系统的概念视图。该摄像系统在传送带上检查进出其视野的物品。在这种布置中,相机通过一个长支架连接到天花板上,该支架确定其高度(参见图2中的D),以便根据要检测的物体的大小优化其视野。由于工厂里到处都是机械和其他活动,相机可能会经历摆动运动(见φ西 南部(t)在图2中)有时会导致检查图像失真。此图中的红色虚线提供了总角度误差 (±φ 的夸大视图西 南部),绿色虚线表示支持系统图像质量目标的角度误差水平(±φ再).图2中的视图根据线性位移误差(d西 南部, d再) 在检查表面上。这些属性与相机高度 (D) 和角度误差项 (φ西 南部, φ再) 通过公式 1 中的简单三角关系。


图2.工业相机检测系统。
适用于此类系统的运动控制技术称为图像稳定。早期的图像稳定系统使用基于陀螺仪的反馈系统来驱动伺服电机,伺服电机在快门打开期间调整图像传感器的方向。MEMS技术的出现有助于以革命性的方式减小这些功能的尺寸、成本和功耗,从而在现代数码相机中更广泛地使用该技术。数字图像处理技术的进步,在其算法中仍然使用基于MEMS的角速率测量,导致在许多应用中消除了伺服电机。无论图像稳定来自伺服电机还是通过图像文件的数字后处理,陀螺仪的基本功能(反馈传感)保持不变,其噪声的后果也是如此。为简单起见,本文重点介绍经典方法(图像传感器上的伺服电机),以探索最相关的噪声基本原理,以及它们与此类应用中最重要的物理属性的关系。
角度随机游走 (ARW)
所有MEMS陀螺仪的角速率测量中都有噪声。这种固有的传感器噪声代表了陀螺仪在静态惯性(无旋转运动)和环境条件(无振动、冲击等)下运行时输出的随机变化。MEMS陀螺仪数据手册提供的描述其噪声行为的最常见指标是速率噪声密度(RND)和角度随机游走(ARW)。
RND参数通常使用°/sec/√Hz的单位,并提供了一种基于陀螺仪频率响应以角速率表示的总噪声的简单方法。ARW 参数通常使用 °/√ 小时的单位,在分析噪声对特定时间段内的角度估计的影响时通常更有用。公式2提供了基于角速率测量值估计角度的通用公式。此外,它还提供了一个将 RND 参数与 ARW 参数相关联的简单公式。这种关系代表了IEEE-STD-952-1997(附录C)中的小幅调整(单面与双面FFT)。

图 3 提供了一个图形参考,有助于进一步讨论 ARW 参数所表示的行为。此图中的绿色虚线表示陀螺仪的 RND 为 0.004°/sec/√Hz 时的 ARW 行为,相当于 ARW 为 0.17°/√小时。实线表示该陀螺仪输出的六个独立积分,周期为 25 ms。角度误差相对于时间的随机性表明,ARW的主要用途是估计特定积分时间内角度误差的统计分布。另请注意,这种类型的响应确实假设使用高通滤波来消除积分过程中的初始偏置误差。

图3.角度随机游走 (ADIS16460)
回到图2中的应用示例,将公式1和2结合起来,提供了将重要标准(检测表面的物理失真)与MEMS陀螺仪数据手册中常用的噪声性能指标(RND、ARW)相关联的机会。在这个过程中,假设公式1中的积分时间(τ)等于图像捕获时间,提供了另一种可能有用的简化。公式3应用公式1中的一般关系来估计,当相机距离检测表面1米(D)且最大允许畸变误差为10μm(d再),陀螺仪的角度误差(φ再) 必须小于 0.00057°。

公式4将公式3的结果与公式2中的一般关系相结合,以预测特定情况下MEMS陀螺仪的ARW和RND要求。此过程假设35 ms的图像捕获时间表示公式2中的积分时间(τ),从而预测陀螺仪的ARW需要小于0.18°/√小时,或者RND必须小于0.0043°/秒/√Hz才能支持这一要求。当然,这可能不是这些参数支持的唯一要求,但这些简单的关系确实提供了一个示例,说明如何与已知需求和条件相关联。

角速率噪声与带宽的关系
那些正在开发提供连续指向控制的系统的人可能更喜欢根据角速率来评估噪声影响,因为他们可能没有固定的积分时间来利用基于 ARW 的关系。根据角速率评估噪声通常涉及对RND参数和陀螺仪信号链中频率响应的一些考虑。陀螺仪的频率响应通常受滤波的影响最大,滤波支持特定应用的回路稳定性标准要求,并拒绝传感器对环境威胁(如振动)的不良响应。公式5提供了一种简单的方法来估计与特定频率响应(噪声带宽)和RND相关的噪声。

当RND的频率响应遵循单极点或双极点低通滤波器曲线时,噪声带宽(fNBW) 与滤波器截止频率 (fC) 根据公式 6 中的关系。

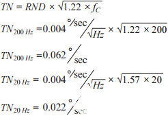
例如,图4提供了ADXRS290噪声的两种不同频谱图,其RND为0.004°/sec/√Hz。在此图中,黑色曲线表示使用截止频率为200 Hz滤波器的双极点低通滤波器时的噪声响应,而蓝色曲线表示使用截止频率为20 Hz滤波器的单极点低通滤波器时的噪声响应。公式7给出了每个滤波器总噪声的计算结果。正如预期的那样,200 Hz 版本的噪声高于 20 Hz 版本。


图4.带滤波器的ADXRS290噪声密度
在系统需要自定义滤波的情况下,其频率响应(H东风(f)) 不符合公式 6 和 7 中的简单单极和双极模型,公式 8 为预测总噪声提供了更通用的关系:

除了影响总角速率噪声外,陀螺仪滤波器还会对整体环路响应产生相位延迟,这直接影响反馈控制系统中另一个重要的品质因数:单位增益交越频率下的相位裕量。公式9给出了一个公式,用于估计单极点滤波器(fC= 截止频率)将在其单位增益交越频率(fG).公式9中的两个示例分别说明了截止频率为200 Hz和60 Hz的滤波器在单位增益交越频率为20 Hz时的相位延迟。这种对相位裕量的影响可能导致陀螺仪指定的带宽比单位增益交越频率大10×,这可能会更加强调选择具有良好RND电平的MEMS陀螺仪。

现代控制系统通常利用数字滤波器,这些滤波器可能具有不同的模型来预测其在控制环路关键频率下的相位延迟。例如,公式10给出了一个公式,用于预测与16抽头FIR滤波器(NUA1),以 4250 SPS (fS) ADXRS290 在相同单位增益交越频率 (fG) 的 20 赫兹。这种类型的关系有助于确定系统架构允许这种类型的滤波器结构的抽头总数。

结论
最重要的是,角速率反馈回路中的噪声会直接影响运动控制系统中的关键性能标准,因此在新系统的设计过程中应尽早考虑噪声。那些能够量化角速率噪声将如何影响系统级行为的人将比那些只知道他们需要低噪声的人具有显着优势。他们将能够建立性能目标,在其应用中创造可观察的价值,并且当其他项目目标鼓励考虑特定的MEMS陀螺仪时,他们将处于量化系统级后果的有利位置。一旦基本了解到位,系统设计人员就可以专注于确定满足其性能要求的MEMS陀螺仪,使用带宽、速率噪声密度或角度随机游走指标来指导他们的考虑。当他们希望优化从所选传感器实现的噪声性能时,他们可以利用与带宽(角速率噪声)和积分时间(角度误差)的关系来驱动其他重要的系统级定义,以支持最适合应用的性能。
审核编辑:郭婷
全部0条评论
快来发表一下你的评论吧 !