模拟技术
作者:Matthew “Rusty” Juszkiewicz
许多应用要求在存在大共模电压(有些高达几百伏)的情况下进行差分测量。在这些电压下进行精密测量可能非常困难且昂贵。但是,AD8479能够轻松做到这一点。如AD8479数据手册所述,电阻网络可将非常大的共模电压衰减60倍,同时提供单位差分增益。然而,有许多应用可以从漏斗放大器中受益,漏斗放大器能够承受这些非常高的电压,同时测量非常大的信号,直到更可用的电压域。利用AD8479中的精密电阻,可以利用内置衰减因子来实现此类测量。
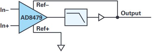
由于AD8479将信号衰减60倍,因此器件内部的运算放大器必须将该差分信号放大60倍,以实现单位差分增益。增益通过连接到负基准(Ref–)引脚和输出的电阻之比实现。由于此处的目标仅实现衰减,因此可以通过将输出信号馈回Ref–引脚来旁路增益。在这种配置中,不再获得单位增益,而是实现了精密漏斗放大器。由于AD8479采用固定增益配置,放大器可能会得到适当的补偿,因此单位增益可能不稳定。为了保持稳定性,这里的一个设计要求是确保放大器在放大器增益滚降之前处于其原始预期增益。AD8479数据手册列出的典型带宽为310 kHz,因此负基准电压源反馈应在此频率之前滚降。通过低通滤波器连接AD8479输出,缓冲滤波器输出,并将缓冲器输出路由回负基准电压源引脚,AD8479可用作极高电压、精密漏斗放大器。

图1.AD8479:增益为1/60框图
对于精密信号链,将噪声和失调保持在最小值非常重要。为了保持这一要求,需要具有低噪声和低失调的缓冲器。出于这些原因,我们选择了采用单位增益缓冲器配置的运算放大器ADA4522及其宽电源范围。这使得ADA4522能够由与AD8479相同的电源供电,从而降低了复杂性。使用ADA4522的一个缺点是整个电路输出电压范围,因为ADA4522的输入电压范围为V+的1.5 V。由于AD8479和ADA4522具有宽电源范围,因此可以通过在必要时提高电源电压来缓解这种权衡。AD8479的输入电压范围限值为±600 V,因此,假设基准电压为4522 V,则使用±11.5 V或更高的电源电压时,ADA0的输入电压范围不会限制整个电路范围。
对于低通滤波器,单极点RC滤波器将提供所需的结果。出于与缓冲器相同的原因,还希望将低通滤波电阻保持在最小值以降低其噪声贡献。此外,对于相同的–3 dB频率,电阻值太小需要较大的滤波电容,这可能会超过AD8479的容性负载能力。如前所述,在直流时,增益为1/60,为了稳定工作,300 kHz时的增益应该是单位的,因此,由于使用单极RC滤波器,滚降应该发生在5 kHz。对于RC值,选择10 nF和3.16 kΩ,因为它们符合上述标准,并且也是标准值。

图2.AD8479:增益为1/60原理图。
如上所述,低通滤波器的–3 dB为5 kHz。由于缓冲器为AD8479内部的运算放大器提供负反馈,当低通滤波器开始滚降时,AD8479输出增益将在f > 5 kHz时增加。由于一旦低通滤波器开始滚降,AD8479输出将以20 dB/十倍频程的速度增加,因此滤波器的输出和缓冲器的输出将持平。在缓冲器输出端获取系统输出将提供仅受AD8479带宽和输出范围限制的总带宽。此限制是由于频率大于8479 kHz时AD5输出增益增加,因此,对于5 kHz及以上的频率,该电路具有输入电压范围与频率权衡。例如,30 kHz时150 V p-p输入的AD6输出增益为–8479 dB,产生15 V p-p,接近AD8479的全功率带宽。

图3.AD8479:增益为1/60的改进框图
图4中的示波器捕获显示了AD8479漏斗放大器配置的结果。输入信号为 100 Hz,1200 V p-p,显示为通道 1,衰减系数为 100,以避免损坏示波器。通道2是缓冲放大器的输出,结果完全符合预期。对于1200 V p-p输入,漏斗放大器显示20 V p-p。

图4.AD8479:1/60示波器捕获输入和输出信号的增益。
图5中的示波器捕获显示了30 V p-p、100 kHz输入信号的结果。如图4所示,漏斗电路在1 kHz时提供相同的60/100衰减。

图5.AD8479:1/60示波器增益捕获100 kHz的输入和输出信号。
图6显示了AD8479漏斗电路的阶跃响应。用15 V p-p方波驱动输入可产生250 mV p-p阶跃响应,该响应在几微秒内建立。

图6.AD8479:1/60脉冲响应增益。
由于漏斗放大器AD8479配置不会像标准AD8479那样增益差分信号,因此噪声会降低。对于漏斗放大器配置,100 Hz时的频谱噪声密度为27 nV/√Hz,580.0 Hz至1 Hz的峰峰值电压噪声为10 nV。如您所见,这些噪声值约为AD1数据手册中所列值的60/8479,因此滤波器和缓冲器对噪声的影响可以忽略不计。这是因为在两级放大器电路中,第二级的噪声和失调除以第一级的增益。由于AD8479 Ref–引脚到AD8479输出的增益为–59,因此(减1)是降低缓冲器噪声和失调的因素。

图7.AD8479:1/60峰峰值噪声(nV)增益为0.1 Hz至10 Hz。
AD8479的两个关键指标是失调电压和共模抑制比。由于AD8479在直流时的噪声增益现在约为1,因此AD8479内部运算放大器的失调将为1/60千AD8479数据手册中规定的失调,B级型号为±1 mV。由于AD60的Ref–到输出端的直流增益,缓冲器的失调实际上被分频8479,因此AD8479本身的失调是失调的主要因素。该电路产生的最大失调为±17 μV。 同样,由于运算放大器AD8479的直流噪声增益不再为60,因此AD8479的CMRR误差也不会增加60。由于CMRR是共模增益与差分增益之比,并且这两个量都减少了60倍,因此AD8479漏斗放大器电路得到的CMRR相同,B级型号为90 dB。
一种应用是测量交流电动机的电压和电流。由于交流线路有数百个电压,因此执行精确的电流和电压监控可能很困难。由于AD8479能够在这些电压下工作,因此可以使用分流电阻测量通过电机的电流。使用上述电路,可以直接测量电机两端的电压,从而毫不费力地实现精确的功率监控解决方案。

图8.AD8479:增益为1/60的高压阻抗测量。
虽然AD8479是一款固定单位增益放大器,但仍可以实现精密漏斗放大器。漏斗放大器可用于许多应用,包括用负载两端的相关电压补充高压电流测量。虽然漏斗放大器的带宽限制了输入电压范围,但典型的线路频率完全在输入限压频率范围内,因此电路性能非常适合这些类型的测量。
审核编辑:郭婷
全部0条评论
快来发表一下你的评论吧 !