数学-傅里叶级数的推导 本篇摘录“信号与系统3-傅里叶变换与频域分析”的小部分内容,作为正弦波生成的傅里叶级数展开法的补充。
1、矢量的正交分解
两矢量V1与V2正交,夹角为90°,那么两正交矢量的内积为零,如下图所示。

图4.2.1 内积为零的原因
正交矢量集:由两两正交的矢量组成的矢量集合。
非正交矢量的近似表示及误差:

用与V2成比例的矢量c12V2近似地表示V1,则误差矢量:
显然,当两矢量V1与V2正交时,c12 = 0,即
。
矢量正交分解:任意N维矢量可由N维正交坐标系表示。

推广到n维空间:n维空间的任一矢量V,可以精确地示为n个正交矢量的线性组合,即:

式中,Vi*Vj = 0(i ≠ j),第r个分量的系数。

思路:将矢量空间正交分解的概念可推广到信号空间,在信号空间中找到若干个相互正交的信号作为基本信号,使得信号空间中任意信号均可表示成它们的线性组合。
2、信号的正交分解
【定义】在(t1,t2)区间的两个函数φ1(t)和φ2(t),若满足
(两函数的内积为0)
则称φ1(t)和φ2(t)在区间(t1,t2)内正交。
说明:实函数正交
(内积为0)
正交函数集:若n个函数φ1(t),φ2(t),…φn(t)构成一个函数集,当这些函数在区间(t1,t2)内满足

则称此函数集为在区间(t1,t2)上的正交函数集。
说明:如果Ki = 1,称为标准正交函数集。
例:两组典型的在区间
上的完备正交函数集。
| 三角函数集 |
![]() |
| 虚指数函数集 |
![]() |
对于两个连续函数来说,应该如何表示正交呢???
函数在某个区间内部有无穷多个点,无法直接套用内积公式。但可以借鉴积分思想,将函数在一段连续区间分割成一份一份,这样每一份的取值合起来就可以组成一个向量。于是可用向量的内积表示两个函数是否正交,如图4.2.2所示。

图4.2.2 两个函数正交
当分割的区间无限小时,向量变成无限维,于是向量的内积就可以用积分来替代了,所以两个函数的正交其实可以用积分表示。
对于 sin4x 和 sin2x 求不定积分:∫sin(4x)*sin(2x)dx = 1/4*sin(2x)−1/12*sin(6x)+C,再在一个周期(-π,π)区间做定积分,很显然积分值 = 0。如图4.2.3所示,一个周期内其图形处于 X 轴上下方的面积相等,也可得出这两个函数的积分为0,也就是互相正交。

图4.2.3 积分值为零(m ≠ n)
对于 sin4x 和 sin4x 求不定积分:∫sin(4x)*sin(4x)dx = 1/2*x−1/16*sin(8x)+C,再在在一个周期(-π,π)区间做定积分,很显然积分值 = π。如图4.2.4所示,一个周期内其图形均在 X 轴上方,积分大于0,也就是不正交。

图4.2.4 积分值非零(m = n)
如图4.2.5的 ∫cos(mx)*sin(nx)*dx、∫cos(mx)*cos(nx)*dx、∫sin(mx)*sin(nx)*dx 的任意两个一个周期内做定积分在 m ≠ n 时值为零,即互相正交。

图4.2.5 完备的正交函数集(上海交大-乐经良《高等数学》)
图4.2.3与图4.2.4的积分需要用到三角函数及其图像之八、积化和差与和差化积,图4.2.5用到三角函数及其图像之1、通过和差角公式推导。
3、傅里叶级数形式★
考虑到一个函数可以展开成一个多项式的和,可惜多项式并不能直观的表示周期函数。由于正余弦函数是周期函数,可以考虑任意一个周期函数表示成为一系列正余弦函数的和。

将上式进行变换:

教课书中的表示:

现在看到(2)式和(3)式的第一项还是不同的。首先确定
的表达形式,对f(x)进行积分:

上式利用三角函数的正交性,得到了
的表达式:

当写成
时,
,此时(2)式和(3)式便可以表示成一样了。接下来的推导中,我们沿用教科书上的表达,即(3)式。其次我们确定
的表达形式,将(3)式两边乘以cos(mx),再进行如下积分:

依据三角函数的正交性,可以得到上式的形式。当m = n时:

的三角函数仍然属于不同的,根据三角函数的正交可知结果为0。对于(5)式,当m = n时,

则
可以表示为:

类似地,可以确定
的表达式:

对于(7)式,当m = n时,

则
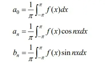
的表达式如下:

至此,我们可以对一个周期为 2π 的函数进行傅里叶展开,其形式为:

其中:

数学是电子工程的基础工具和理论支撑。觉得不错,动动发财的小手点个赞哦!
审核编辑 黄宇
全部0条评论
快来发表一下你的评论吧 !