CW32电机控制基础——无刷直流电机转速电流双闭环控制分析 为解决转速单闭环系统动态过程中的转矩(电流)控制问题,在原转速调节器后加入电流调节器,就构成了转速、电流双闭环调速系统,如图1。

图1 BLDCM转速电流双闭环控制系统框图
结合CW32的外设资源,以CW32微处理器为核心的BLDCM双闭环控制系统组成框图见图CW32。

图2 基于CW32的转速电流双闭环系统框图
系统中设置了两个调节器,转速调节器的输出作为电流调节器的输入,电流调节器的输出为PWM占空比控制电枢电压从而实现对转速的控制。其中,转速调节器是调速系统的主导调节器,它使得动态时电机转速跟随其给定而变化,稳态时转速无静差或尽可能小;对负载变化起抗扰作用,其输出决定流过电机电流的大小。电流调节器使电机电流紧紧跟随其给定(转速调节器输出)而变化,对电网电压的波动起及时抗扰作用;在起/制动过程中能够以允许的最大电流启动,从而加快动态过程;当电机过载甚至堵转时,限制电流的最大值,起快速的自动保护作用。一旦故障消失,系统立即自动恢复正常。
一、 调节器参数工程设计方法
转速、电流双闭环系统是一种多环系统,设计多环系统的方法是:从内环开始逐步向外扩大,一环一环地进行设计,即先从电流内环开始,先设计好电流调节器,然后将电流环作为转速调节外环的一个环节,再设计转速调节器。
有刷直流电动机双闭环调速系统,目前已有简便实用、行之有效的调节器参数工程设计方法,而无刷直流电机和有刷直流电机有着类似的数学模型和相同的控制结构,故可以借鉴直流电机的设计方法进行参数设计。
1. 工程设计方法基本步骤
自动控制理论证明,0型系统在稳态时是有差的,而Ⅲ型和Ⅲ型以上的系统稳定困难。因此为了保证稳定性和稳态精度,多用Ⅰ型和Ⅱ型系统;其次典型Ⅰ、Ⅱ型系统,其参数和系统性能指标间的关系都已事先确定,按现成公式和表格数据经简单计算即可确定调节器参数,参数选择较简单和方便。
第一步,按确保系统稳定和满足所需稳态精度要求,选择调节器结构。
第二步,按满足系统动态性能指标要求,确定调节器参数。
2. 典型Ⅰ型系统
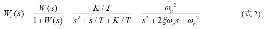
典型Ⅰ型系统开、闭环传递函数如式(1)、(2)所示,系统动态跟随性能与参数的关系见表1。

式中,K开环增益,T惯性环节时间常数。

式中,是ωn无阻尼时的自然振荡角频率(固有角频率),



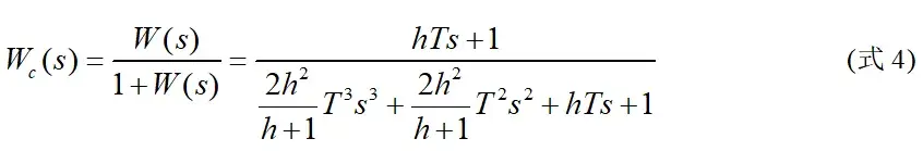
3. 典型Ⅱ型系统典型Ⅱ型系统开环传递函数如式(3)。

式中,开环增益,微分环节时间常数,惯性环节时间常数,τ>T。
令中频宽h=是τ/T,
且

则得到闭环传递函数如式(4)。系统性能与参数的关系见表2,表3。



3.1.电流调节器设计
相对转速环而言,在忽略反电动势影响后,电流环就只与PWM逆变器和电机参数有关,其动态结构框图见图3。

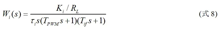
图3 电流环动态结构框图系统对电流环的设计要求是稳态无静差,动态过程电流不超过允许值,也就是电流超调越小越好,从这个角度出发,电流环一般设计成典型I型系统,即电流调节器为PI调节器,则其传递函数为:

式中,Ki是调节器比例增益,τi为积分时间常数。由图3可整理得到电流环开环传递函数如下:

相对于电流环闭环截止频率,PWM逆变器可以看成一阶惯性环节,其中
KPWM为逆变器的比例系数,在PWM控制时因逆变器输出电压与输入电压近似相等,因此KPWM=1,TPWM为PWM的载波周期;RL,LL分别为电机定子线电阻、线电感,TL为电机电磁时间常数(TL=LL/RL);Tif为电流反馈通道滤波时间常数,Kif为反馈增益,电流反馈采用AD采样值,反馈值即代表实际值,即Kif=1。因远大于Ts和Tif,按照调节器工程设计方法,选择电流调节器零点对消被控对象的大时间常数极点,即:

综合上述结论,式(6)可简写成:

由于Ts和Tif都是小时间常数,可以用一个时间常数为TΣi的惯性环节来代替这两个小惯性环节,则电流环传递函数为:

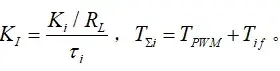
式中,电流环开环增益

一般情况下,希望电流超调量σ%《5%时,参照表5.1可取ξ=0.707,即KI×TΣi=0.5,由此可得:

3.2.转速调节器设计电流环是转速环的内环,在设计转速调节器时,首先要得到电流环的闭环传递函数,然后将其作为转速环的一个环节后再进行转速环的设计。电流环闭环传递函数:

当阻尼比ξ=0.707,KI×T∑i=0.5时,式(11)可写作:

由于转速环的截止频率一般较低,忽略电流环闭环传递函数的高次项后,式(12)可近似为:

用电流环的等效传递函数代替原来的电流环后,可得转速环的动态结构框图如图5-32所示。

图4 转速环动态结构框图
图中,Cm为电磁转矩常数,Tif为转速反馈滤波时间常数,Knf为反馈增益,因数字系统中转速反馈值和实际值一致,故Knf=1。将转速给定及反馈滤波环节移至环内,且合并小惯性环节(即TΣn=2TΣi+Tnf)后,可得简化后的转速环动态框图如图5。

图5 简化转速环动态结构框图
由上可知,转速环控制对象由一个惯性环节和一个积分环节构成,为满足系统在稳态无静差和动态有良好控制性能的要求,转速环应按照典型Ⅱ型系统进行设计,故应选用PI调节器作转速调节器,其传递函数为:

如此,转速环开环传递函数为:

令转速环开环增益KN为:

则

典型Ⅱ型系统参数选择:

由式(16)和式(18)可知:

为满足系统拥有较好的跟随性和抗干扰性能,一般选择h=5。3.3.数字PI调节器设计根据传递函数的定义,可得连续系统PI调节器输出u(t)为:

式中,e(t)为调节器输入,KP为比例增益,TI为积分时间常数。由于数字控制是采样控制,它只能根据采样时刻的偏差来计算控制量,故必须对上式进行离散化处理,用一系列采样时刻点k来代替连续的时间t,离散化的PI算法表达式为:

式中,u(k)为调节器第k个时刻的控制输出,e(k)为第k个时刻的偏差,Ts为采样周期(即PI算法执行周期),KI为积分增益(KI=KPxTs/TI)。调节器采样周期的选择,必须考虑:1. 采样周期要比对象的时间常数小得多,否则采样信号无法反映瞬变过程;2. 采样周期应远小于对象扰动信号的周期;3. 考虑执行器的响应转速;4. 当系统纯滞后占主导地位时,应按纯滞后大小选取,并尽可能使纯滞后时间接近或等于采样周期的整数倍;5. 考虑对象所要求的控制质量,精度越高,采样周期越短;6. 从微处理器的计算量来看,一般要求采样周期大些。综合上述因素,系统采样时间:

式中,我ωMAX系统最高频率。如果系统最高频率未知,则按预期的ωMAX选取。对于一般工业用调速装置,可按转矩(电流)内环ωMAX<1000,转速外环ωMAX<200进行选取。二、 BLDCM双闭环系统计算实例及simlink仿真调节器工程设计方法是在对原始系统进行了诸如模型降阶、小惯性环节合并等简化处理的基础上得到的,可作为调节器参数的参考值,最终设定值还需以系统动静态为目标在实际系统上多次反复调试得到。随着计算机技术的进步,调节器参数调试也可以先在计算机中构建的系统模型上进行仿真调试,以得到合理的参数组合,为系统的实现提供理论依据,缩短参数整定的时间。

图6 BLDCM转速电流双闭环simlink模型
图6是采用Mlatlab2010b中BLDCM模型构建的双闭环系统。电机参数:相电阻Rs=2.875Ω,相电感Ls=8.5mH,反电势常数Ce=146.6077Vpeak/krpm,转矩常数Cm =1.4Nm/Apeak,转动惯量J=0.8e-3Kgm2,摩擦系数f=0.001Nm·s,极对数Ps=4,负载转矩TL=3Nm。
三相逆变器直流母线电压Udc=500V,单相PWM之载波频率10KHz,换相逻辑采用二二导通方式(HPWM-LON)。
转速反馈通道滤波时间常数Tnf =2ms,电流反馈通道滤波时间常数Tif =0.04ms,反馈增益Knf =Kif = 1。
1.模拟PI调节器设计及仿真从系统的已知参数,可按工程设计方法计算出调节器参数,下面是具体的计算过程。仿真模型参数:采用二二导通方式,故电枢方程:

电枢线电阻: RL=2×Rs =5.75 Ohm
电枢线电感: LL=2×Ls =17 mH
电磁时间常数:TL= RS/LS = 8.5/2.875 = 2.96 ms
机电时间常数:Tm= (GD2/375)×RL/Ce/Cm = (4×9.8×0.8e-3/375) ×5.75/(146.61/1000)/1.4 = 2.30 ms
PWM周期: TPWM=1/10e3=0.10 ms
电流调节器参数计算:
电流滤波时间常数: Tif =0.04 ms
电流环小惯性时间常数:T∑i= TPWM + Tif =0.10+0.04=0.14 ms
取ζ=0.707,则
电流环开环增益:KI=0.5/ T∑i=0.5/0.14e-3 = 3571.43 s-1
ACR积分时间: τi = TL= 2.96 ms
ACR比例增益:Ki= KI×RL×τi = 3571.43×5.75×2.96e-3=60.79
电流环校验近似条件:
电流环开环截至频率:ωci = KI= 3571.43 s-1
(1)PWM装置传递函数近似条件:ωci ≤1/(3TPWM)
1/(3TPWM)=10000/3=3333.33,大致满足近似条件。(2) 小时间常数近似处理条件:


(3) 忽略反电动势对电流环影响的条件:


转速调节器参数计算:
转速滤波时间常数: Tnf =2 ms
转速小惯性环节时间常数:T∑n= 2T∑i + Tnf =2.28 ms
取h=5,则
转速环开环增益:KN= (h+1) / (2h2T∑n2 ) = 23084.02 s-2
ASR积分时间: τn = h T∑n = 5×2.28 = 11.4 ms
ASR比例增益: Kn= (h+1)J / (2hT∑nCm )/9.55= 6×0.8e-3/(10×2.28e-3×1.4)/9.55=0.0157
转速环校验近似条件:
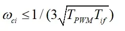
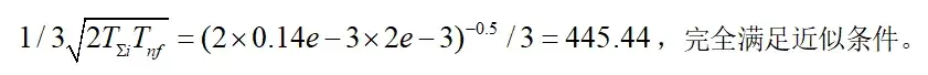
转速环开环截至频率:ωcn = KN ×τn = 23084×11.4e-3=263.16 s-1
(1)电流环简化条件:ωci ≤1/(5TΣi)
1/(5TΣi)=1428.57,完全满足近似条件。
(2) 小时间常数近似处理条件:


将所得参数代入调节器,得到系统仿真波形如图7。

图7 BLDCM转速电流双闭环启动波形
图7表明,工程设计方法得到的调节器参数不但能保证系统正常运行,且控制效果较佳。
2.数字PI调节器设计及仿真
在连续PI调节器设计的基础上,下面进行数字PI调节器的设计。
1. 数字电流调节器参数计算
电流环采样时间Ts ≤ π/ωmax,ωmax = ωci = 3571.43,则
Ts ≤ π/3571.43 = 0.88 ms,取Ts = 0.05 ms
数字ACR比例增益: Kp = Ki = 60.79
数字ACR积分增益: KI = Kp×Ts/τi = 60.79×0.05/2.96 = 1.03
2. 数字转速调节器参数计算
转速环采样时间Ts ≤ π/ωmax,ωmax = ωcn = 263.16,则
Ts ≤ π/263.16 = 11.93 ms,取Ts = 0.5 ms
数字ASR比例增益: Kp = Kn = 0.0157
数字ASR积分增益: KI = Kp×Ts/τn = 0.0157×0.5/11.4 = 0.0007
以图6为基础,添加采样保持器模块构建双闭环调速系统离散仿真模型如图7,仿真结果见图8。

图8 BLDCM转速电流双闭环离散系统波形
审核编辑 黄宇
全部0条评论
快来发表一下你的评论吧 !