实验名称:ATA-62216功率放大器在非共振式压电驱动器设计中机械输出实验中的应用
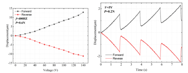
实验内容:在压电驱动领域,利用高速度和低频率的粘滑效应的驱动器引起了人们的极大兴趣。本研究提出了一种创新的线性压电驱动器,它集成了两级放大系统和Z形梁机构。设计的驱动器在低频下具有良好的驱动速度,克服了此类驱动器需要两个柔性机构来实现反向运动和反向性能差的缺点。通过理论和模拟解释了驱动器的结构和尺寸设计。对所设计的驱动器采用线切割技术进行加工,最后使用信号发生器,ATA-62216功率放大器、电容位移传感器以及驱动器搭建实验平台进行实验测试。实验结果表明,该原型机具有双向运动的能力。在400Hz和140V的激励下,该驱动器的最大速度为12.88mms-1。这项研究介绍了一种新的方法,用于设计高速双向运动滑移式压电驱动器。
研究方向:压电驱动、柔性机构
测试设备:ATA-62216功率放大器、压电驱动器、传感器、PC以及数据采集设备等。
实验过程:

实验装置由压电驱动器、传感器、功率放大器(型号:ATA-62216,Aigtek,中国),PC以及数据采集设备组成。首先研究预紧力对驱动器的影响。使用信号发生器设置300Hz频率以及5V的输出电压并使用功率放大机对其放大而后施加到驱动器上,使用导轨后面的千分尺螺钉调整执行器上的预压力同时使用推拉力计测量预压力的大小。从而获得驱动器最佳预紧力为后续试验做好准备。在获得最佳预紧力后对所设计的驱动器测试其不同电压下(0-140V)下的速度,得到驱动器的最大速度为12.88mms-1。而后测试所设计驱动器分辨率,设置合适预紧力以及电压得到其最佳分辨率为130nm。
实验结果:

实验结果表明,所设计的驱动器可以实现最高12.88mm/s的最高速度以及130nm的最大分辨率,为了实现低频高速运动,并且为了增强双向运动的能力,设计了一种基于两级放大器的粘滑型压电驱动器。对其进行结构设计以及理论分析并搭建了实验系统,实验结果验证了所设计结构的良好性能,在140V和400Hz的激励下,最高速度为12.88mm/s。在5V的激励下其最高分辨率为130nm,实验表明,该样机能够实现长行程、稳定的运动。本文为非谐振式直线压电驱动器的设计提供了一种新的方法,有利于粘滑型压电驱动器在精密定位、精密制造以及生物医学和光学设备等领域的实际应用。
西安安泰电子是专业从事功率放大器、高压放大器、功率信号源、前置微小信号放大器、高精度电压源、高精度电流源等电子测试仪器研发、生产和销售的高科技企业,为用户提供具有竞争力的测试方案。
审核编辑 黄宇
全部0条评论
快来发表一下你的评论吧 !