传统光伏技术面临两大核心挑战:硅基电池效率逼近理论极限,而新兴的钙钛矿电池虽效率潜力巨大,却受制于有机组分导致的稳定性差及铅元素的环境毒性问题。美能QE量子效率测试仪可用于精确测量太阳电池的EQE与光谱响应,帮助优化界面工程和背接触设计,从而提升电池的量子效率和整体性能。
本研究提出一种创新的全无机钙钛矿叠层太阳能电池解决方案。该设计采用低铅钙钛矿CsPb₀.₇₅Sn₀.₂₅IBr₂(1.78 eV)作为顶部宽禁带吸收层,以捕获高能光子;同时选用完全无铅的双钙钛矿Cs₂TiI₆(1.02 eV)作为底部窄禁带吸收层,有效利用透射的低能光子。通过仿真优化吸收层厚度实现精准的电流匹配,该叠层结构成功将高效率与高稳定性、低环境毒性相结合,最终实现了31.9%的功率转换效率,为发展可持续的高性能光伏技术提供了明确路径。
研究方法与电池结构

(a) 基于独立 CsPb₀.₇₅Sn₀.₂₅IBr₂ 吸收层的顶部子电池器件结构(b) 基于独立 Cs₂TiI₆ 吸收层的底部子电池器件结构(c) 基于 CsPb₀.₇₅Sn₀.₂₅IBr₂/Cs₂TiI₆ 的多层叠层太阳能电池结构
本研究采用SCAPS-1D一维模拟器,在 AM1.5G 光谱、1 个太阳辐照(1000 W/m2)和300 K温度条件下,对串联电池进行性能模拟。
器件结构设计
顶电池:前电极 / N-PDI(电子传输层 ETL)/CsPb0.75Sn0.25IBr2(吸收层)/Spiro-OMeTAD(空穴传输层 HTL)/ 背电极
底电池:前电极 /TiO2(ETL)/Cs2TiI6(吸收层)/PEDOT(HTL)/ 背电极
串联结构:通过电流匹配技术优化两子电池的吸收层厚度,实现光耦合与电荷传输协同。
关键参数设置

(a) CsPb₀.₇₅Sn₀.₂₅IBr₂ 顶部子电池吸收层的吸收系数谱(b) Cs₂TiI₆ 底部子电池吸收层的吸收系数谱
各层材料的电学参数(如禁带宽度、迁移率、缺陷密度等)均按光伏器件模拟标准输入 SCAPS-1D,吸收层厚度调节范围为100-1000 nm,ETL/HTL厚度调节范围为50-250 nm,界面缺陷密度测试范围为1010cm-2至1018cm-2。
单结子电池性能
Millennial Solar

顶部子电池在500 nm吸收层厚度下:(a) J-V 曲线(b) EQE 曲线;底部子电池在500 nm吸收层厚度下:(c) J-V 曲线(d) EQE 曲线
单独测试顶、底电池的光伏性能显示:
顶电池(吸收层 500 nm):短路电流密度(JSC)= 15.16 mA/cm²,开路电压(VOC)= 1.41 V,填充因子(FF)= 87.41%,功率转换效率(PCE)= 18.77%。外部量子效率(EQE)曲线在700 nm波长处降至零。
底电池(吸收层 500 nm):JSC = 33.38 mA/cm²,VOC = 0.79 V,FF = 85.80%,PCE = 22.63%。EQE曲线在1200 nm波长处降至零。
进一步分析偏压与无偏压条件下的能带结构、载流子分布和电流传输特性,发现 ETL 区域电子浓度较高,HTL 区域空穴浓度较高,吸收层中载流子分布均匀,为串联优化提供了基础数据。
ETL/HTL厚度变化的影响
Millennial Solar

独立顶部子电池在ETL厚度变化(50–250 nm)时:(a) J-V 曲线(b) 光伏参数变化;在HTL厚度变化(50–250 nm)时:(c) J-V 曲线(d) 光伏参数变化

独立底部子电池在ETL厚度变化(50–250 nm)时:(a) J-V 曲线(b) 光伏参数变化;在HTL厚度变化(50–250 nm)时:(c) J-V 曲线(d) 光伏参数变化
对于顶部子电池,增加ETL(N-PDI)厚度会加剧复合,导致JSC和PCE下降,而HTL(Spiro-OMeTAD)厚度的变化对性能影响甚微。
对于底部子电池,ETL(TiO₂)和HTL(PEDOT)厚度的变化均未对光伏参数产生显著影响。
界面缺陷对顶 / 底电池的影响
Millennial Solar

界面缺陷对顶部子电池性能的影响:(a,c) J-V 曲线及 (b,d) 光伏参数

界面缺陷对底部子电池性能的影响:(a,c) J-V 曲线及 (b,d) 光伏参数
顶部子电池:ETL/吸收层(N-PDI/CsPb₀.₇₅Sn₀.₂₅IBr₂)界面缺陷密度的增加会显著降低JSC、VOC和PCE;而吸收层/HTL界面的缺陷主要影响VOC,对JSC影响较小。
底部子电池:ETL/吸收层(TiO₂/Cs₂TiI₆)界面缺陷对JSC和PCE的影响极为显著;吸收层/HTL界面缺陷则主要影响VOC和FF,对JSC无影响。
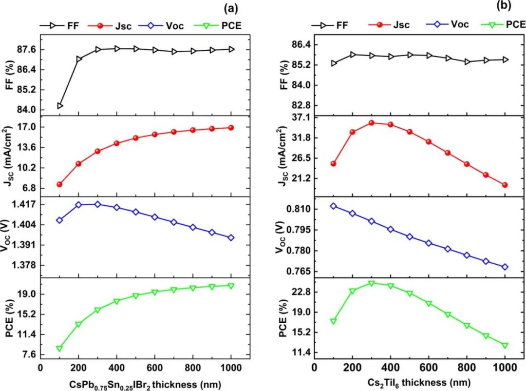
单结顶 / 底电池吸收层厚度变化的影响

吸收层厚度变化对光伏参数的影响:(a) 顶部子电池吸收层(b) 底部子电池吸收层
顶部吸收层(CsPb₀.₇₅Sn₀.₂₅IBr₂)厚度从100 nm增至1000 nm,由于光吸收增强,JSC和PCE持续提升,最高PCE达20.66%(厚度1000 nm)。
底部吸收层(Cs₂TiI₆)存在最佳厚度:在300 nm时获得最高PCE为24.55%,超过此厚度后因体内复合增加导致效率下降。
叠层电池仿真与电流匹配
Millennial Solar

在滤波光谱下,顶部与底部电池厚度变化对叠层电池光伏参数的综合影响:(a) 开路电压(b) 填充因子(c) 短路电流密度(d) 功率转换效率
通过系统调整顶部和底部吸收层厚度,找到了电流匹配点。当顶部CsPb₀.₇₅Sn₀.₂₅IBr₂厚度为970 nm,底部Cs₂TiI₆厚度为200 nm时,两子电池在滤波光谱条件下的JSC达到16.84 mA/cm²的共同值。
在此电流匹配点,叠层电池的性能为:
JSC = 16.84 mA/cm²
VOC = 2.18 V(顶部1.39 V + 底部0.79 V)
FF = 86.97%
PCE = 31.93%
该效率显著高于各独立子电池的效率之和,体现了叠层结构在充分利用太阳光谱方面的优势。
本研究提出并模拟了一种环境友好型全无机钙钛矿叠层太阳能电池。顶部子电池采用低铅的CsPb₀.₇₅Sn₀.₂₅IBr₂(1.78 eV),底部子电池采用无铅的Cs₂TiI₆(1.02 eV)。通过优化吸收层厚度实现电流匹配,该叠层设计实现了31.93%的高转换效率和2.18 V的高开路电压,同时在材料层面兼顾了降低铅毒性和增强无机稳定性的优势。
这项工作为开发高效、稳定且可持续的光伏技术提供了一条有前途的路径。未来的研究可集中于进一步改善材料长期稳定性、优化器件结构以获得更佳的电流匹配,以及推动该设计走向实际制备与规模化应用。
美能QE量子效率测试仪
Millennial Solar

美能QE量子效率测试仪可以用来测量太阳能电池的光谱响应,并通过其量子效率来诊断太阳能电池存在的光谱响应偏低区域问题。它具有普遍的兼容性、广阔的光谱测量范围、测试的准确性和可追溯性等优势。
兼容所有太阳能电池类型,满足多种测试需求
光谱范围可达300-2500nm,并提供特殊化定制
氙灯+卤素灯双光源结构,保证光源稳定性
美能QE量子效率测试仪通过精准测量电池在300-900 nm短波范围内的光谱响应,为验证本研究中钝化性能的提升提供了关键实验数据。
原文参考:Current matched all perovskite tandem solar cells with low lead perovskites achieving 31.9% efficiency and enhanced stability
*特别声明:「美能光伏」公众号所发布的原创及转载文章,仅用于学术分享和传递光伏行业相关信息。未经授权,不得抄袭、篡改、引用、转载等侵犯本公众号相关权益的行为。内容仅供参考,若有侵权,请及时联系我司进行删除。
全部0条评论
快来发表一下你的评论吧 !