文章来源:老千和他的朋友们
原文作者:孙千
本文介绍了半导体的能带结构、掺杂工艺及二极管工作原理。
本文将聚焦半导体的能带结构、核心掺杂工艺,以及半导体二极管的工作原理——这些是理解复杂半导体器件的基础。
半导体能带
硅是半导体工业中最核心的材料,砷化镓则广泛用于光电器件制造。图 3.1 为元素周期表(由俄罗斯科学家德米特里・门捷列夫Dmitri Mendeleev发明):用于制造晶体管的硅和锗属于第14族元素,均有4个价电子;砷属于第15族元素,有5个价电子;镓属于第13族元素,有3个价电子——因此砷化镓也被称为三五族(III–V)化合物半导体。

图3.1:元素周期表
图3.2 为半导体能带的基本结构示意图,实际能带结构更为复杂。通常情况下,半导体的价带被电子填满,不会产生电流;当电子吸收足够能量(来自光子或热量),价带顶部的部分电子会跃迁至导带底部 —— 这些带负电的电子在电场(电压)驱动下沿导带流动,产生电流;同时,价带顶部会留下带正电的空穴,空穴也会沿价带流动,参与导电。此时电子和空穴统称为载流子。

图3.2:半导体能带结构示意图(上:直接带隙半导体,电子从导带底直接跃迁至价带顶;下:间接带隙半导体,电子跃迁需与晶格相互作用)
前面的文章我们了解了迁移率 μ和电场 E,再结合载流子概念,可给出迁移率的完整定义:电压与电场相关,电压驱动下的电荷运动本质是电场作用的结果。载流子在电场作用下在半导体中的平均运动速度称为漂移速度 vd,迁移率的定义为:vd=μ E 。迁移率的单位是 cm²/(V・s)(V 为电压,s 为秒),核心作用是建立载流子漂移速度与电场的关联。多数半导体中,电子迁移率大于空穴迁移率——例如硅中电子迁移率为 1500cm²/(V・s),空穴迁移率为 450cm²/(V・s),这意味着电场作用下电子的漂移速度更快。
根据电子跃迁方式的不同,半导体分为直接带隙半导体和间接带隙半导体(图 3.2):电子在价带和导带之间直接跃迁的,称为直接带隙半导体;需借助晶格作用才能跃迁的,称为间接带隙半导体。
当光照射半导体表面时,直接带隙半导体中的电子可直接与光子相互作用,光电转换效率高;间接带隙半导体中的电子除与光子相互作用外,还需与晶格相互作用,会损失部分能量,光电转换效率较低。

图3.3:锗(Ge)、硅(Si)和砷化镓(GaAs)的能带图(a)锗;(b)硅;(c)砷化镓,可见锗和硅为间接带隙,砷化镓为直接带隙,展示真实能带的复杂结构及子能带分布
图 3.3 为锗、硅和砷化镓的能带图:锗和硅为间接带隙半导体,砷化镓为直接带隙半导体 —— 因此砷化镓广泛用于光电器件制造。此外,实际能带结构包含多个子能带,比基础示意图更复杂。
半导体掺杂
多数情况下,纯半导体材料无法直接用于制造器件,必须通过“掺杂”工艺改性 ——这一过程需先了解统计物理学的基本概念和常数。
统计物理学是用概率统计方法研究大量微观粒子组成的宏观物体的物理性质与规律的分支,经典统计物理学由麦克斯韦和玻尔兹曼发展而来。奥地利物理学家路德维希・爱德华・玻尔兹曼(Ludwig Edward Boltzmann ,1844–1906)在麦克斯韦研究基础上提出玻尔兹曼方程,热力学中的玻尔兹曼常数(符号 kB)就是以他命名的。
微观粒子出现后,形成了两种统计理论:费米-狄拉克统计(遵循该统计的粒子称为费米子fermions,)和玻色-爱因斯坦统计(遵循该统计的粒子称为玻色子bosons)。
另一关键物理量是绝对温度(又称开尔文温度,符号 K),以英国科学家威廉・汤姆森(开尔文勋爵,Baron Kelvin ,1824-1907)命名。日常生活中常用的摄氏度(℃),定义为标准大气压下(1atm)水的沸点为 100℃、冰点为 0℃,两点间分为 100 等份。绝对温度的零点(0K)是物质停止运动的理论温度,与摄氏度的关系为:0K=-273.15℃,0℃=273.15K 。热力学第三定律指出,温度无法达到绝对零度,即物质不会完全停止运动。玻尔兹曼常数的数值为:kB=8.62×10-5eV/K 。
纯半导体(称为本征半导体)不能直接用于制造器件,需向半导体晶体中有意添加杂质(称为掺杂剂)—— 掺杂剂原子会取代晶格上的半导体原子,改变半导体的电阻率等特性,这一过程称为掺杂,掺杂后的半导体称为掺杂半导体。常用的掺杂方法有高温(900–1200℃)扩散和离子注入(后续详细讨论),硅中最常用的掺杂剂是磷(P)和硼(B)。
结合元素周期表:磷属于第15族元素,有5个价电子;硼属于第13族元素,有3个价电子;硅有4个价电子。当磷掺杂到硅中时,1个磷原子取代1个硅原子后,只需拿出4个电子与周围硅原子形成共价键,剩余的第5个电子会摆脱束缚,成为自由电子——这种以电子(带负电)导电为主的半导体,称为 n 型半导体(n 为 “negative” 的首字母,也可用大写 N 表示)。
硼仅有3个价电子,当硼原子进入硅晶体取代硅原子时,与硅原子形成的共价键会缺少 1 个电子,相邻硅原子的价电子会被这个不完整的共价键吸引 —— 这一过程会从相邻硅原子夺取1个电子,在原位置留下1个空穴(带正电),这类半导体称为 p型半导体(p 为 “positive” 的首字母,也可用大写 P 表示)。其中,磷在硅中提供电子,称为施主杂质;硼在硅中接受电子,称为受主杂质(图 3.4)。

图3.4:硅(Si)中磷(P)和硼(B)杂质的示意图(a)磷掺杂硅:磷原子取代硅原子,多余 1 个电子成为自由电子;(b)硼掺杂硅:硼原子取代硅原子,共价键缺少 1 个电子,形成空穴)
图 3.5 为硅掺杂后的能带图,理解该图需引入费米能的概念——费米能是固体物理学中的能量概念,以美籍意大利物理学家恩里科・费米Enrico Fermi(1901-1954)命名。在半导体中,费米能用于描述电子或空穴的能级,可通过电中性条件确定,因此更常称为费米能级(符号 Ef)。图中 Ec为导带底能量,Ev为价带顶能量,Eg为禁带宽度。

图3.5:本征半导体、n 型半导体和 p 型半导体的能带示意图(左:本征半导体,费米能级(Ei)位于禁带中心;中:n 型半导体,费米能级(Ef)靠近导带底,标注施主电离能级(ED);右:p 型半导体,费米能级(Ef)靠近价带顶,标注受主电离能级EA)
本征半导体中,电子数与空穴数相等(称为电子-空穴对,EHP),费米能级几乎位于禁带中心(用 Ei表示);n 型半导体中,ED为施主掺杂的电离能,电子数多于空穴数,费米能级靠近导带底,施主浓度越高,费米能级越接近导带底;p 型半导体中,EA为受主掺杂的电离能,空穴数多于电子数,费米能级靠近价带顶,受主浓度越高,费米能级越接近价带顶。
图 3.6 为锗、硅和砷化镓中杂质的电离能级分布:硅中磷的电离能为 0.046eV,硼的电离能为 0.044eV,掺杂后的材料称为非本征半导体。

图3.6:锗、硅和砷化镓中各类杂质的电离能级分布(禁带中心以下的能级源自价带顶,默认为受主能级(标注 “A” 除外);禁带中心以上的能级源自导带底,默认为施主能级(标注 “D” 除外))
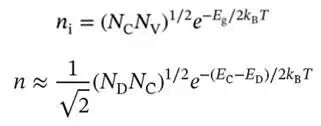
为理解本征硅和非本征硅的特性,需了解硅晶体中电子和空穴的分布规律:电子和空穴均为费米子,遵循费米-狄拉克统计分布。用ni表示本征载流子浓度,n表示n型半导体中的电子浓度,p表示p型半导体中的空穴浓度,通过求解费米-狄拉克统计方程,可得到相关载流子浓度(p型半导体遵循类似规律):

式中NC为导带有效态密度,NV为价带有效态密度,ND为施主杂质浓度,e≈2.718(以瑞士数学家莱昂哈德・欧拉Leonhard Euler ,1707-1783命名)。公式也可写为:

图3.7为本征载流子浓度与温度的关系:禁带宽度越小,室温下本征载流子浓度越高。假设掺杂浓度为10¹⁵cm⁻³,锗的本征载流子浓度在温度低于 100℃时即可达到该数值,硅需达到约300℃,砷化镓则需约500℃。当非本征材料的本征载流子浓度与掺杂浓度相等时,器件无法正常工作,该温度称为工作温度 —— 但受其他材料限制,实际工作温度大多低于 300℃。

图3.7:锗、硅和砷化镓的本征载流子浓度与温度倒数的关系图(标注室温下的本征载流子浓度参考值,横坐标为 1000/T(K⁻¹),纵坐标为本征载流子浓度(cm⁻³))
通常假设室温T=27℃≈300K,结合玻尔兹曼常数,可得:kBT=8.62×10-5×300eV=0.02586eV≈0.026eV。
根据麦克斯韦-玻尔兹曼统计,微观粒子的平均能量为 3/2 kB T,因此室温下施主杂质中的电子可从热源(主要是晶格振动)获得 0.026eV 的能量。
以磷为例,将 0.046eV代入公式,可得:

这表明室温下,约 40% 以上的磷掺杂会被晶格振动激活,多余电子电离后进入导带成为自由电子,硼的情况类似。这种室温下即可电离的杂质称为浅能级掺杂,与之相对的是深能级掺杂。
砷化镓中通常掺杂硅,硅取代镓后成为浅施主杂质,使砷化镓成为 n 型半导体。半导体中的杂质会显著改变材料特性,例如将半绝缘的砷化镓转变为实用的半导体材料 —— 通过调整掺杂浓度,可制备不同类型的半导体,满足各类器件制造需求。
半导体二极管
以硅半导体为例,当n型材料与p型材料紧密接触时,n型区域的电子会向接触表面附近的p型区域扩散,同时p型区域的空穴会向n型区域扩散(图3.8a)。
可移动载流子扩散后,不可移动的带电离子会留在接触表面附近的晶格位置:n 型区域留下正离子,p型区域留下负离子 —— 这个缺少载流子的区域称为耗尽层(耗尽区),区内会建立起内建电场。随着更多载流子扩散,内建电场逐渐增强,最终阻碍载流子进一步扩散,达到动态平衡(图3.8 中 Vbi为内建电势)。

图3.8:p-n 结的能带结构示意图(a)p 型硅与 n 型硅界面附近,电子从 n 区扩散至 p 区,空穴从 p 区扩散至 n 区;(b)最终 p 区与 n 区的费米能级(Ef)趋于一致,形成耗尽区和内建电势(Vbi))
p-n 结形成过程中,n 型与 p 型半导体的费米能级最终趋于一致,建立起内建电势。扩散区的势能是电荷在电场中某点的能量,与电场类似,电势是势能除以电荷量,两点间的电势差即为电压。耗尽层中电势的建立会阻碍载流子扩散,称为势垒。
p-n结是理解现代电子学和半导体微芯片的核心,在p-n结两端制作金属电极(金属-半导体接触)并封装后,就得到了二极管产品(后续讨论金属-半导体接触)。
p-n 结中还有一种载流子运动形式称为漂移:耗尽层附近,p型区域中少量电子会在内建电场吸引下从p型区域漂移到n型区域,n 型区域中少量空穴会在内建电场吸引下从 n 型区域漂移到 p 型区域。
若二极管未连接电池,载流子的所有运动达到动态平衡,p-n 结中无电流流动;当二极管连接电池时,分为两种情况:
电池阳极接 p 型区域,阴极接 n 型区域:外接电池的电场方向与内建电场方向相反,内建电场被削弱,耗尽层变薄,载流子的扩散不再被内建电场抵消,扩散载流子在 p-n 结中流动,二极管中有电流通过(图3.9 上半部分),这称为正向电压。

图3.9:二极管的结构与偏置状态:(a)正向电压(正向偏置),外接电源电场与内建电场方向相反,耗尽层变薄,电子和空穴的扩散电流主导。
电池阳极接 n 型区域,阴极接 p 型区域:外接电池的电场方向与内建电场方向相同,内建电场被增强,耗尽层变厚,无扩散载流子通过 p-n 结,仅有少量漂移载流子流动,二极管中仅有微弱电流通过(图3.9 下半部分),这称为反向电压。

图3.9:二极管的结构与偏置状态:(b)反向电压(反向偏置),外接电源电场与内建电场方向相同,耗尽层变厚,电子和空穴的漂移电流主导
载流子分为多数载流子和少数载流子:n 型半导体中,电子是多数载流子,空穴是少数载流子;p 型半导体中,空穴是多数载流子,电子是少数载流子。假设电池电压为 V:情况 1 中,势能变为 q (Vbi - V),势垒降低,扩散电流增大,二极管导通,此时的电压称为正向偏置,电流称为正向电流;情况2中,势能变为 q (Vbi + V),势垒升高,无扩散电流,仅有微弱漂移电流,此时的电压称为反向偏置,电流称为反向漏电流。

图3.10:半导体二极管的符号与实物图(符号中箭头方向表示电流单向导通方向,从阳极(Anode,+)指向阴极(Cathode,−))
图3.10 为二极管的符号和实物图,二极管具有单向导电性,符号中的箭头指示电流从阳极流向阴极,与双向导电的电阻完全不同。图3.11 为二极管和电阻的电流-电压(I-V)特性曲线:当正向电压大于约 0.6V 时,正向电流开始显著增大,该电压称为阈值电压(VTh,部分书籍称为偏移电压)—— 锗二极管的阈值电压约为 0.3V,肖特基二极管约为 0.2V(后续讨论肖特基二极管)。阈值电压大致等于结的势垒,仅当外加电压超过 VTh时,二极管才会有明显正向电流。反向电流远小于正向电流(称为漏电流),当反向电压大于约 115V 时,反向电流显著增大,该电压称为击穿电压。

图3.11:二极管与电阻的 I-V 曲线对比:(a)二极管的 I-V 曲线,标注正向阈值电压(VTh)、反向漏电流、击穿电压;(b)电阻的 I-V 曲线(线性关系,体现双向导电特性)
结合图3.9 中二极管反向偏置时的耗尽层示意图和图3.11 的 I-V 曲线可知,反向偏置的二极管相当于一个电容器:耗尽层相当于电介质,p型和n型区域相当于电极板——这种结构是集成电路中广泛应用的电容形式。二极管的一个重要应用是整流,整流二极管仅允许单向电流导通(图3.12)。

图3.12:整流二极管的电信号转换示意图(展示输入交流信号经整流二极管后,输出单向脉动信号的过程)
参考资料
Further Discussion of Semiconductors and Diodes
全部0条评论
快来发表一下你的评论吧 !