随着半导体器件向高温、高频、高功率方向发展,氮化铝(AlN)等宽禁带半导体材料的外延质量至关重要。薄膜的厚度、界面粗糙度、光学常数及带隙温度依赖性直接影响器件性能。Flexfilm全光谱椭偏仪可以非接触对薄膜的厚度与折射率的高精度表征,广泛应用于薄膜材料、半导体和表面科学等领域。
本文基于光谱椭偏技术,结合X射线衍射、拉曼光谱等方法,系统研究了c面蓝宝石衬底上生长的不同厚度AlN外延薄膜的结构与光学性质,重点通过高温变温椭偏分析,揭示了薄膜厚度对晶体质量、带隙热稳定性及应力状态的调控机制。
1
实验与方法
flexfilm
椭偏仪测试系统
本研究采用Flexfilm全光谱椭偏仪进行测试。测量时使用三个入射角:60°、65°和70°。变温测试通过变温台实现,温度范围300 K–850 K,每个温度点稳定15分钟后采集数据,以保证温度均匀性。
样品制备与测试流程

AlN 样品结构示意图
样品采用MOCVD阶梯生长法在c面蓝宝石衬底上制备,分别生长了名义厚度为2 μm(AlNt)和4 μm(AlNn)的AlN外延层。椭偏测试前未对样品进行特殊表面处理。测试在常压环境下进行,高温测试时使用水循环控温。
数据分析与误差控制

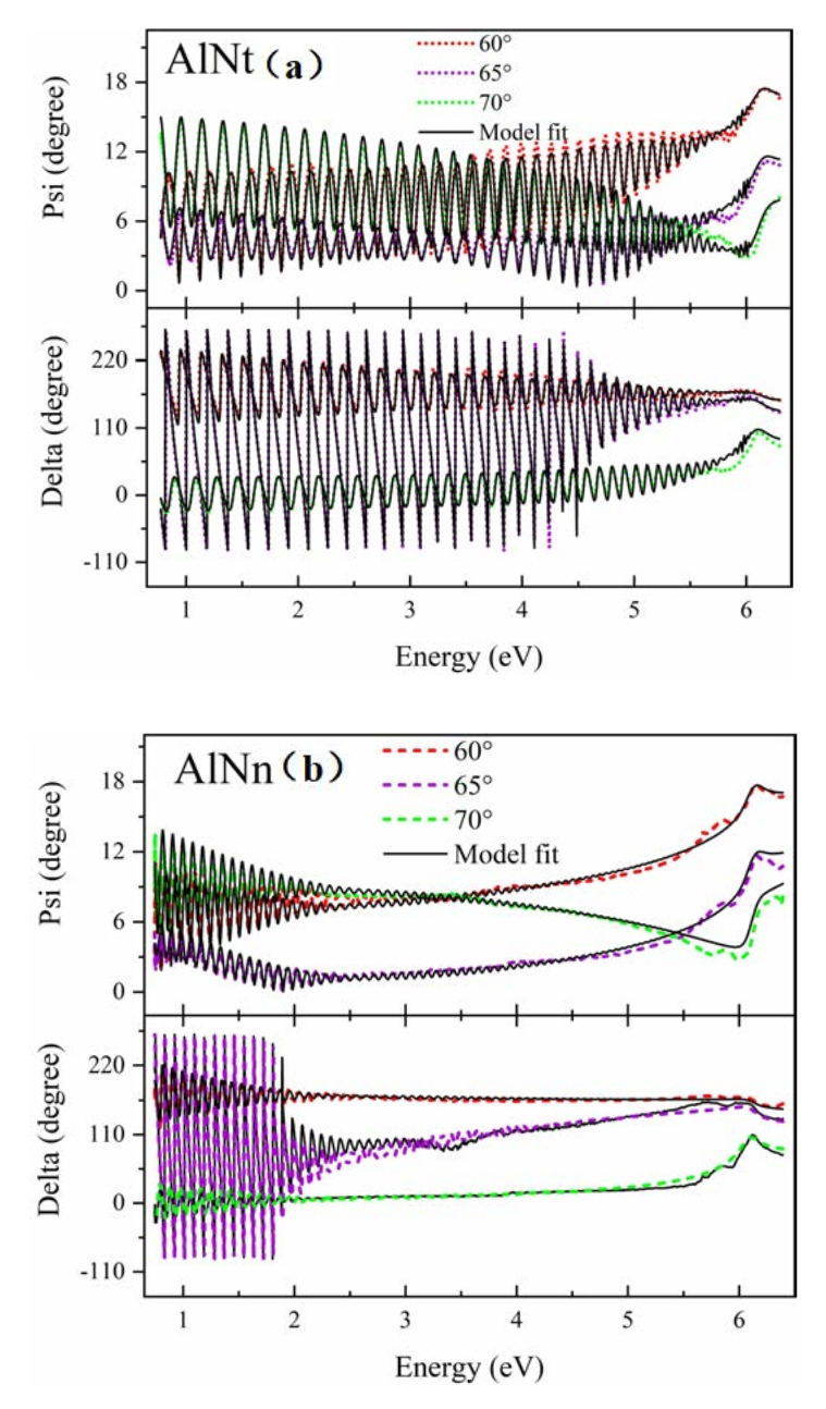
室温时样品(a)AlNt(b)AlNn测试与模型拟合的Ψ(λ)和Δ(λ)光谱
采用CompleteEASE软件建立四层物理模型(表面粗糙度/HT-AlN层/LT-AlN缓冲层/蓝宝石衬底)对椭偏光谱进行拟合。蓝宝石衬底光学常数取自文献并固定不变,AlN层采用高斯振子与Psemi振子组合描述。通过最小二乘法反复优化,获得膜厚、光学常数(n, k)、表面粗糙度及带隙等参数,拟合优度通过实验曲线与拟合曲线的吻合程度判断。
2
结果与讨论
flexfilm
薄膜厚度与光学常数的椭偏表征

室温下两个样品的拟合光学常数(折射率n和消光系数k)

AlNt和AlNn薄膜样品横截面的SEM形貌图
通过室温椭偏拟合,获得AlNt和AlNn的外延层厚度分别为(1.78±0.04)μm和(3.67±0.05)μm,与SEM结果一致。表面粗糙度分别为(3.07±0.03)nm和(3.58±0.05)nm。室温下两个样品的折射率n与消光系数k随光子能量的变化关系,在带隙附近,k值迅速上升,表明吸收边陡峭,晶体质量较高。
带隙与Urbach带尾的椭偏分析

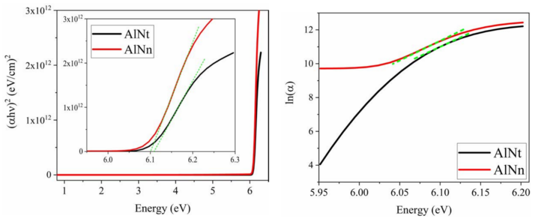
室温下两个AlN样品外延层(αhν)²和ln(α)与光子能量(hν)的关系图
通过(αhν)²-hν关系图线性拟合得到AlNt和AlNn的带隙分别为(6.11±0.01)eV和(6.10±0.02)eV。基于吸收系数α的指数衰减区域,通过lnα-hν关系拟合得到Urbach带尾能量Eu分别为(50±0.02)meV和(45±0.02)meV。较厚的AlNn样品Eu更小,表明其结构无序度更低、晶体质量更好,与XRD测得的(0002)面半高宽变化趋势一致。
高温变温椭偏揭示带隙热稳定性

高温变温SE测试数据拟合后得到的n和k
在300 K–850 K温度范围内进行变温椭偏测试,获得了n、k及带隙Eg随温度的变化关系。结果显示,随着温度升高,吸收边红移,带隙减小。
通过Bose-Einstein模型拟合Eg-T关系,得到AlNt和AlNn的平均电子-声子耦合能分别为(389±100)meV和(390±102)meV,特征温度分别为(800±154)K和(795±155)K。
与文献中较薄样品(如136 nm样品耦合能为687 meV)相比,本研究中微米级厚度样品的耦合显著减弱,表明厚度增加可有效提升AlN带隙的热稳定性。当厚度达到微米级后,厚度对Eg温度依赖性的影响趋于饱和。
本研究通过光谱椭偏技术,准确表征了不同厚度c面AlN外延薄膜的厚度、光学常数、带隙及Urbach带尾,并结合高温变温测试,系统分析了薄膜厚度对晶体质量与热稳定性的影响。椭偏数据表明,厚度增加可降低薄膜的结构无序度,减小Urbach带尾,并显著弱化电子-声子耦合作用,从而增强带隙在高温下的稳定性。这些结果为面向高温工作的AlN基光电子器件设计与工艺优化提供了关键的薄膜质量评估依据。
Flexfilm全光谱椭偏仪
flexfilm

全光谱椭偏仪拥有高灵敏度探测单元和光谱椭偏仪分析软件,专门用于测量和分析光伏领域中单层或多层纳米薄膜的层构参数(如厚度)和物理参数(如折射率n、消光系数k)
Flexfilm全光谱椭偏仪能非破坏、非接触地原位精确测量超薄图案化薄膜的厚度、折射率,结合费曼仪器全流程薄膜测量技术,助力半导体薄膜材料领域的高质量发展。
#椭偏仪 #氮化铝 #外延薄膜 #高温光学特性 #带隙热稳定性
原文参考:《Ⅲ族氮化物半导体薄膜的结构和光学性质研究》
*特别声明:本公众号所发布的原创及转载文章,仅用于学术分享和传递行业相关信息。未经授权,不得抄袭、篡改、引用、转载等侵犯本公众号相关权益的行为。内容仅供参考,如涉及版权问题,敬请联系,我们将在第一时间核实并处理。
全部0条评论
快来发表一下你的评论吧 !