激光辅助烧结(LAF)技术(如激光增强接触优化LECO)已广泛应用于隧穿氧化层钝化接触(TOPCon)太阳能电池的大规模生产。虽然LAF可优化金属-半导体接触、提升钝化效果,但业界对其在热过程(特别是组件制造与潜在高温暴露)中的可靠性存疑。本研究旨在建立LAF TOPCon电池的热稳定性边界,并解析其背后的物理机制。美能PL/EL一体机测试仪的EL电致发光成像通过探针上电,可以分析电池的缺陷,尤其是电极和接触异常,属于接触式测试,适合测试成品电池片。
激光辅助烧结(LAF)技术可显著提升TOPCon电池效率,但其热稳定性是产业化关注的核心问题。本研究系统性评估了LACon电池在组件制造过程(焊接、层压)中的温度耐受性,以及在450℃极限高温下的性能演变规律。
实验方法
Millennial Solar

(a) LAF TOPCon太阳能电池的结构示意图,以及稳定性测试的实验流程图:(b)在焊接和层压过程中的热条件下(c)在高温RTA和LAF循环下
研究采用G10尺寸n型硅衬底制备TOPCon电池,前表面为硼扩散发射极,背面为SiOx隧穿层与磷掺杂多晶硅。前后表面分别采用ALD、AlOx/PECVD、SiNx与PECVD SiNx钝化。电池金属化采用商用银浆与LAF工艺。
热稳定性测试分为两部分:
中等温度测试:模拟组件制造中的焊接(350°C、10秒光浸泡)与层压(150°C、15分钟暗退火)过程,测量电池性能变化。
高温测试:进行450°C RTA(峰值430°C、3秒)与LAF循环,评估接触稳定性。
测试设备包括Sinton I-V测试仪、电致发光(EL)与光致发光(PL)成像系统,用于分析效率参数、复合特性及载流子寿命分布。
结果与讨论
Millennial Solar
组件制造过程中的热损失

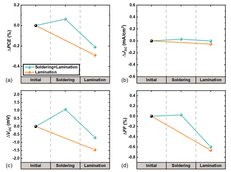
TOPCon太阳能电池在焊接和层压过程后,单太阳光下(a)PCE、(b)Jsc、(c)Voc和(d)FF值的绝对变化
层压过程导致PCE下降约0.29%,主要源于FF降低(约0.66%)与Voc轻微下降(约1.5 mV)。焊接过程未引起退化,甚至因氢钝化作用使Voc略有上升。这表明层压相关的热应力是引起电池-组件(CTM)损失的主要原因。
中等温度热稳定性分析

TOPCon太阳能电池分别在150°C、180°C和250°C暗退火过程中,单太阳I-V参数的绝对变化

TOPCon太阳能电池在150°C暗退火、光浸泡和暗存储循环下,(a)Voc和(b)pFF值的相对变化

(a)TOPCon太阳能电池在150°C暗退火15分钟前后的开路基态PL图像(b)短路基态PL图像
150°C暗退火导致FF与Voc先下降后逐渐恢复,Jsc保持稳定。FF损失主要源于伪填充因子(pFF)下降,后者与类J02复合增加密切相关。更高温度(180°C、250°C)退火加速退化与恢复过程,表明退化与恢复为竞争机制。
PL成像显示,退化在低注入水平下更为显著,且全区域寿命下降,排除边缘复合为主要原因。短路PL图像表明退化发生在前表面区域,结合J02上升,推断空间电荷区(SCR)复合是主导机制。
暗退火与光浸泡的交互作用

TOPCon太阳能电池在250°C暗退火和/或350°C光浸泡过程后,再经过15分钟150°C暗退火,其单太阳下(a)Voc和(b)pFF值的绝对变化

TOPCon太阳能电池经受150°C/250°C暗退火和350°C光浸泡循环时(a)Voc和(b)pFF值的相对变化
250°C预退火可稳定电池性能,但后续焊接(模拟为350°C光浸泡)会重新激活缺陷,导致层压时再次退化。循环测试表明,光浸泡主要使已钝化的缺陷重新激活,而非产生新缺陷。
值得关注的是,层压后仅需1分钟室温光浸泡即可完全恢复性能,说明野外运行中此类CTM损失可自修复。但在暗存储中仍会出现部分性能衰减,这与紫外诱导退化(UVID)行为相似。
高温RTA引起的接触退化

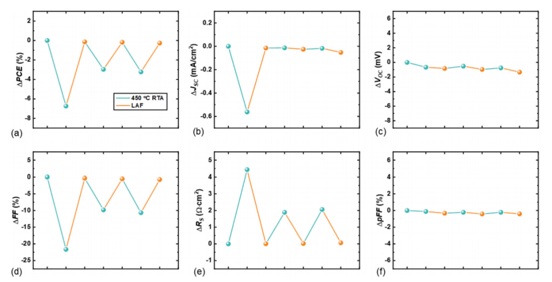
TOPCon太阳能电池在450°C RTA和LAF循环过程中,单太阳下(a)PCE、(b)Jsc、(c)Voc、(d)FF、(e)Rs和(f)pFF值的绝对变化

样品在初始状态以及经过3步RTA过程后的EL图像
450°C RTA导致FF大幅下降(约21.6%),主要源于串联电阻(Rs)急剧上升。后续LAF处理可恢复接触性能,使FF与PCE回归初始水平。重复RTA循环中,退化程度逐渐减弱,表明接触劣化具有饱和趋势。
EL图像显示RTA后出现暗区,对应接触不良,与I-V结果一致。
热稳定性机制探讨
Millennial Solar

SEBL、SELAF和HELAF太阳能电池在150°C暗退火15分钟后,单太阳下(a)PCE、(b)Jsc、(c)Voc和(d)FF值的绝对变化

为LAF TOPCon太阳能电池中退化和再生所提出的三态缺陷模型及转化路径
氢相关退化模型:
研究提出三态缺陷模型(前驱态A、复合激活态B、恢复态C),用于描述缺陷在热与光照下的动态转换。LAF过程可能引入更多氢并改变其分布,氢在发射极区积累可能导致SCR复合,表现为J02上升。高温RTA中氢在金属-硅界面聚集可能增加接触电阻,而LAF处理可驱散界面氢,恢复接触性能。
其他可能机制:
金属沉淀物在高温下扩散并与氢形成复合体,引起性能波动。
接触结构在高温下发生变化:RTA使玻璃料软化,破坏隧穿通道;LAF重建纳米银胶体隧穿路径并增加直接接触点,使后续RTA退化减轻。
本研究系统评估了LAF TOPCon电池在适中与高温下的热稳定性。层压过程引起的CTM损失(约0.29%绝对PCE)主要由空间电荷区J02型复合导致,但可通过短时光照完全恢复,户外运行中影响甚微。高温RTA导致接触劣化,但可通过LAF修复。提出氢主导的三态缺陷模型,解释了缺陷激活、钝化与再激活的动力学。LAF引入的氢重新分布、金属杂质以及接触结构重组均是潜在机制。这些发现为LAF TOPCon电池的可靠性评估与组件制造工艺优化提供了重要依据。
美能PL/EL一体机测试仪
Millennial Solar

美能PL/EL一体机测试仪模拟太阳光照射钙钛矿太阳能电池片,均匀照亮整个样品,并用专业的镜头采集光致发光(PL)信号,获得PL成像;电致发光(EL)信号,获得EL成像。通过图像算法和软件对捕获的PL/EL成像进行处理和分析,并识别出PL/EL缺陷,根据其特征进行分析、分类、归纳等。
美能PL/EL一体机测试仪对晶硅太阳能电池片内部的缺陷,如晶体缺陷、杂质等,进行高精度检测从而帮助生产人员及时调整工艺参数,提高产品质量。
原文参考:Thermal stability of laser-assisted fired TOPCon solar cells: Crucial insights for module manufacturing, certification testing, and field conditions
*特别声明:「美能光伏」公众号所发布的原创及转载文章,仅用于学术分享和传递光伏行业相关信息。未经授权,不得抄袭、篡改、引用、转载等侵犯本公众号相关权益的行为。内容仅供参考,若有侵权,请及时联系我司进行删除。
全部0条评论
快来发表一下你的评论吧 !