导读
在电气与电子行业应用场景中,高电压环境及强电磁干扰极易导致传统电子传感器失效,使其难以实现可靠测量。在此背景下,光纤布拉格光栅(Fiber Bragg Grating,FBG)传感器成为一种行之有效的解决方案。FBG 传感器具有重量轻、安装便捷、多点复用能力强等优势,可在同一根光纤上实现对温度、应变、载荷、压力等多种物理量的分布式测量。与依赖供电的传统传感器不同,光纤传感器为无源器件,无需外部电源,适用于输电线路、油气管道等长距离、高安全性要求的应用场景。
光纤布拉格光栅(FBG)的工作原理基于单模光纤纤芯折射率的周期性调制,在光纤中形成分布式布拉格反射结构。当宽谱光通过 FBG 时,特定中心波长的光被反射,其余波长则继续透射。当环境温度或应变发生变化时,光栅周期及有效折射率随之改变,从而引起反射中心波长的漂移,通过检测该波长变化即可实现物理量测量。
构造和工作原理
光纤布拉格光栅(FBG)是一种基于光学原理的高精度传感器,其制备方法为:将单模光纤纤芯横向暴露在周期性强紫外激光照射下,在纤芯内部形成折射率的永久性周期变化,即光栅结构(Λ)。该结构可选择性反射特定波长的入射光,该波长被称为布拉格波长 λBragg,并透射其他波长的光。布拉格波长与光栅周期及纤芯有效折射率密切相关,其关系式如下所示。


(图片来源自网络)
当温度或应变引起光栅周期变化时,反射布拉格波长将发生相应偏移,该变化可作为物理量测量的依据,如下图所示。

(图片来源自网络)
光纤布拉格光栅传感器系统的设计
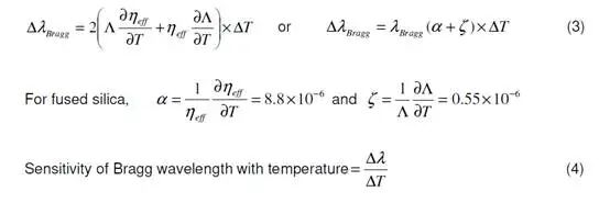
用于载荷、温度及应变测量的 FBG 传感系统通常由宽带光源、光纤布拉格光栅传感器、光纤连接器及解调(询问)单元构成。当被测物理量发生变化时,询问单元可实时检测反射布拉格波长的偏移量,其变化关系可由下式表示。

其中,pe 为应变光学系数,ε为应变变量,α为热膨胀系数,ζ为热光系数,ΔT 为温度变化量。该公式表明,布拉格波长偏移同时受温度和应变共同影响。对于石英光纤,pe 的典型值约为 0.22,其余参数为已知常数。
FBG 在温度测量中的应用
光纤布拉格光栅(FBG)已广泛应用于天然气管道监测、油气勘探及科研实验等温度测量领域。根据理论公式可知,布拉格波长偏移同时受温度与应变影响。为实现纯温度测量,通常将 FBG 封装于保护套管中,并在两端保持机械松弛状态,以有效隔离外界应变干扰,从而提升温度测量的准确性和稳定性。

利用光纤布拉格光栅进行温度测量的实验装置(图片来源自网络)
在实验系统中,裸 FBG 可在最高约 600 ℃ 的温度范围内稳定工作。FBG 与加热器及热电阻(RTD)保持良好接触,其中 RTD 作为参考温度传感器,用于校准与调节 FBG 的工作温度。实验系统采用 12V 直流电源供电,温度测量原理基于布拉格反射波长随温度变化产生的峰值漂移。 布拉格波长峰值漂移与温度之间的关系可由下式表示。


FBG 传感器的典型温度灵敏度约为 11.5 pm/℃。(图片来源自网络)
FBG 在应变测量中的应用
应变定义为结构在外力作用下长度变化量ΔL 与原始长度 L 的比值。光纤在受力时产生相应应变,同时温度变化会引起热膨胀效应,从而对测量结果造成干扰。因此,在基于 FBG 的应变测量中,通常需要进行温度补偿。通过在同一位置配置温度参考光栅,可有效消除温度对波长漂移的影响。由此可通过相关公式计算得到纯应变引起的波长变化。


FBG 传感器的应变灵敏度通常约为 1.02 pm/με,适用于高精度结构健康监测与工程测量场景。
FBG 传感器的其他应用
除温度与应变测量外,光纤布拉格光栅(FBG)还可用于构建光学加速度计,广泛应用于桥梁、轨道交通、重型机械及大型结构的振动监测。
此外,FBG 传感器具备同时测量多种参数(如温度、载荷、应变、压力、振动及倾角等)的能力,支持单点及多点分布式传感。相较于传统传感器,其在灵敏度、长期稳定性及可靠性方面具有显著优势,是高精度监测应用的理想解决方案。
武汉驿路通科技股份有限公司,坐落于中国光谷,是一家专业从事光通信传输解决方案和产品制造的高新技术企业,是国家专精特新重点“小巨人”企业。驿路通产品线包括光配线、光纤阵列、波分复用、光纤光栅、光引擎等产品,目前已广泛应用于光纤通信、数据中心、5G、AI、光纤传感、硅光、激光雷达、远程医疗等领域,市场遍布欧美、中东、亚太、南美的50多个国家和地区。欢迎来电咨询或发邮件至sales@yilut.com。
全部0条评论
快来发表一下你的评论吧 !